Apollo 15 Lunar Surface Journal

 

Journal Home Page Apollo 15 Journal

 

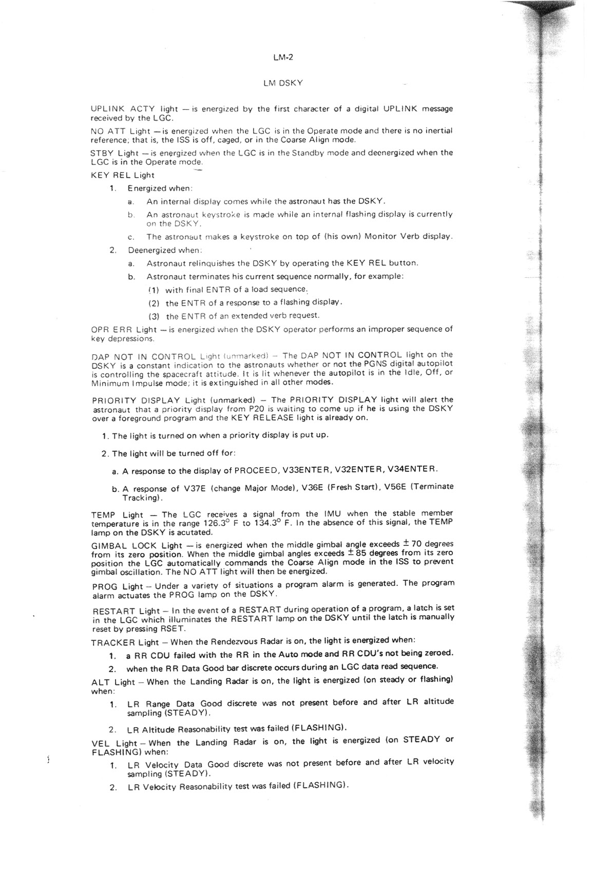
Apollo 15 Delco LM Manual - LM DSKY


The following pages were extracted from the PDF version of the full Delco LM Manual ( 181 Mb ) created by Frank O'Brien.

 

LM-2 ( 347k )
DSKY Indicator Light Descriptions
LM-3 ( 376k )
DSKY Indicator Lights Descriptions (cont.); Keyboard Buttons; DSKY diagram
LM-4 ( 186k )
Programs for Program Luminary - 00 to 77
LM-5 ( 246k )
Routines for Program Luminary - 00 to 77
LM-6 ( 254k )
List of Verbs Used in Program Luminary - Regular Verbs 00 to 39, Extended Verbs 40 to 60
LM-7 ( 255k )
Extended Verbs 61 - 99
LM-8 ( 193k )
List of Nouns used in Program Luminary - 00 to 18
LM-9 ( 193k )
Nouns 19 to 39
LM-10 ( 202k )
Nouns 40 to 58
LM-11 ( 274k )
Nouns 59 to 75
LM-12 ( 235k )
Nouns 76 to 91
LM-13 ( 150k )
Nouns 92 to 99

 

Journal Home Page Apollo 15 Journal