Apollo Flight Journal logo
Previous Index Next
Day 1, part 4: Settling Down for the Flight Journal Home Page Day 2, part 2: Housekeeping and Updates

Apollo 13

pics/a13patch.jpg

Day 2, part 1: Midcourse Correction 2 on TV


Corrected Transcript and Commentary Copyright ©2015-2025 by W. David Woods, Johannes Kemppanen, Alexander Turhanov and Lennox J. Waugh. All rights reserved.
Last updated 2025-02-22
12 April 1970. Jim Lovell, Jack Swigert and Fred Haise have been shot off to the Moon in a giant ballistic lob onboard the Saturn V booster, and are now coasting away while enjoying a well-deserved sleep. Their three days of coast will be filled with systems maintenance and preparing for the lunar landing waiting for them at Fra Mauro. Plans also exist for the orbital science to be performed by Swigert while flying solo around the Moon. To get there, however, the plan for the second day of the mission will include a course change to refine their trajectory for lunar approach.
Planned mission trajectory profile.
Flying close to the Moon will have the lunar gravity alter their trajectory from the initial ellipse into a kind of a figure 8, which sends them back toward Earth. Several pre-calculated times for mid-course corrections are marked on the above diagram. Only the necessary ones are used, although the capacity exists for all of them, should they be required. Apollo 13's TLI has been accurate enough that only one midcourse correction is planned for the moonbound leg of their journey.
Flight Plan page 3-14.
Download MP3 audio file. PAO loop.
This is Apollo Control at 13 hours, 57 minutes. The White Team, led by Flight Director Gene Kranz, is in the process of taking over here in the Control Center relieving the Gold Team, led by Gerry Griffin. Apollo 13 is 66,738 nautical miles [123,599 kilometres] from Earth; velocity, 7,123 feet per second [2,171 metres per second]. We had no conversation with the crew for the past hour. They have started a 10-hour rest period. Been a fairly quiet shift. At the beginning of the shift, the crew was performing program 23, cislunar navigation, taking star markings with the sextant. That went very well. They established a Passive Thermal Control mode and had to re-establish it a little bit later as the initial PTC was not well established. It has been performing very well since it was re-established. For a period of several hours the Apollo 13 crew photographed the Earth's weather. One photograph every 20 minutes. Midcourse correction number 1 was not performed by the spacecraft. Midcourse correction number 1 for the S-IVB, the third stage of the booster, was performed just prior to the Gold Team coming on shift this evening at 6 hours Elapsed Time. Midcourse correction number 2 was scheduled for 9 hours. However, tracking determined that midcourse correction number 2 for the S-IVB was not required. And the S-IVB is expected to impact the lunar surface in the area that is desired at about 77 hours, 49 minutes. The impact time will continue to be updated throughout the translunar coast period. Just prior to saying goodnight to the crew, we did have a report from spacecraft commander Jim Lovell that the crew had taken no medication thus far in the mission. And we reported to the crew that all spacecraft consumables are in good shape. 14 hours, 1 minute; this is Mission Control, Houston.
Download MP3 audio file. PAO loop.
This is Apollo Control, Houston at 14 hours, 33 minutes now into the flight of Apollo 13. Our digital displays presently show Apollo 13 traveling at a speed of 6,923 feet per second [2,110 m/s], and at a distance away from Earth of 68,941 nautical miles [127,679 km]. The White Team of flight controllers have settled into their respective console positions. The atmosphere in Mission Control, at the present time, could be described as quiet, business-like, since the crew entered their rest period some hour and a half to two hours ago. Flight Director Gene Kranz, as is traditionally done, went around the room talking to each member of his flight control team following their changeover. Jack Lousma is presently filling the position of Capsule Communicator; however we would not expect to hear from Mr. Lousma assuming that the mission continues on its present Flight Plan. The report from Flight Surgeon during this around-the-room period indicated - the Flight Surgeon indicated that he felt all three crewmen were settled in and sleeping at the present time. He is recording data on the Lunar Module Pilot, and his data indicated that Fred Haise went to sleep at 13 hours, 30 minutes into the mission; some one hour ago. We're now at 14 hours, 35 minutes into the flight and this is Apollo Control, Houston.
Flight Plan page 3-15.
Download MP3 audio file. PAO loop.
This is Apollo Control, Houston at 15 hours, 33 minutes now into the flight of Apollo 13. Our digital displays presently show the Apollo 13 spacecraft at 73,035 nautical miles [135,261 km] away from Earth; now travelling at a velocity of 6,731 feet per second [2,052 m/s]. With the crew now well into its - into their rest period, here in Mission Control we have not attempted to contact them. Continuing to monitor at 15 hours, 34 minutes into the flight; this is Apollo Control, Houston.
Download MP3 audio file. PAO loop.
This is Apollo Control, Houston; at 16 hours, 24 minutes now into the flight of Apollo 13. Our digital displays presently show Apollo 13 at 76,311 nautical miles [141,328 km] away from Earth. Continuing to slow down, now showing a velocity of 6,551 feet per second [1,997 m/s]. Meanwhile during this quiet period in the Mission Control Center, the White Team of flight controllers, headed by Flight Director Gene Kranz, are taking this opportunity to watch a television replay of the Transposition and Docking phase of the mission which took place yesterday afternoon. We're at 16 hours, 25 minutes into the flight. Continuing to monitor; this is Apollo Control, Houston.
Flight Plan page 3-16.
Download MP3 audio file. PAO loop.
This is Apollo Control, Houston at 17 hours, 23 minutes now into the flight of Apollo 13. Our digital displays presently show the Apollo 13 spacecraft at 79,919 nautical miles [148,010 km] away from Earth, and travelling at a velocity of 6,350 feet per second [1,935 m/s]. We've had no voice communications or contact with Apollo 13 crewmen Jim Lovell, Jack Swigert, or Fred Haise, since they started their rest period. Meanwhile, this has provided a period of quiet planning in the Mission Control Center. One of the items being planned, midcourse correction number 2, will pass along preliminary planning numbers for you now. We're presently looking at a Ground Elapsed Time of 30 hours, 40 minutes, 57 seconds for MCC-2, with a Delta-V or a velocity [change] of 23 feet per second [7 m/s]. This, of course, will be performed with the Service Propulsion System of the Command Module and with a burn duration now planned of 3.25 seconds. Of course, these numbers will be reviewed and updated as the mission progresses. We're now at 17 hours, 25 minutes into the flight of Apollo 13 and this is Apollo Control, Houston.
Download MP3 audio file. PAO loop.
This is Apollo Control, Houston at 18 hours, 22 minutes since the start of the Apollo 13 mission. We now show Apollo 13 83,396 nautical miles [154,449 km] out from Earth, traveling now at a speed of 6,157 feet per second [1,877 m/s]. At this time, the Apollo 13 crew continues in their rest period and meanwhile in Mission Control we will continue to monitor for any conversations or transmissions if they - in the unlikely event they should occur. We're at 83 hours, 23 minutes into the flight; this is Apollo Control, Houston.
Flight Plan page 3-17.
Download MP3 audio file. PAO loop.
This is Apollo Control, Houston at 19 hours, 22 minutes now into the flight of Apollo 13. We've just concluded another silent hour in Mission Control Center as the Apollo 13 crew is still sleeping. Meanwhile, backup commander John Young has joined Jack Lousma at the Capsule Communicator's console. At this point, we'll relay some flight dynamics data developed during this period of relative inactivity. Apollo 13 will reach its mid-point in its trip to the Moon, in terms of distance, at an altitude of 112,070 nautical miles [207,554 km]. This will occur at a Ground Elapsed Time of 27 hours, 20 minutes, 49 seconds. The spacecraft's velocity relative to the Moon will be 4,207 feet per second [1,282 m/s]. Relative to the Earth, its velocity will be 4,990 feet per second [1,521 m/s]. Apollo 13 will be at its mid-way point in terms of time and our point of reference here is the Lunar Orbit Insertion, now forecast to occur at 77 hours, 26 minutes, 12 seconds. Its mid-way point would be at a Ground Elapsed Time of 38 hours, 43 minutes, 06 seconds. At that point, Apollo 13 will be at an altitude of 85,684 nautical miles [158,687 km] away from the Moon and traveling away from the Earth at a distance of 141,764 nautical miles [262,547 km]. Its velocity relative to the Moon, 3,776 feet per second [1,151 m/s]; its velocity relative to the Earth, 4,098 feet per second [1,249 m/s]. Apollo 13 should go into the lunar sphere of influence at Ground Elapsed Time of 62 hours, 49 minutes, zero seconds. Its distance, at that time, away from the Moon will be 33,821 nautical miles [62,636 km]. Distance away from the Earth, 190,713 nautical miles [353,200 km], and traveling at a velocity of 3,641 feet per second [1,110 m/s] relative to the Moon, and 3,025 feet per second [922 m/s] relative to the Earth. We are now at 19 hours, 25 minutes into the flight of Apollo 13; and this is Apollo Control, Houston.
Download MP3 audio file. PAO loop.
This is Apollo Control, Houston at 20 hours, 22 minutes now into the flight of Apollo 13. Our display now shows the Apollo 13 spacecraft at 90,380 nautical miles [167,384 km] away from Earth, continuing to slow down; its velocity presently reading 5,843 feet per second [1,781 m/s]. Meanwhile in the Mission Control one of our multi-purpose countdown clocks shows that the Apollo 13 crew has 2 hours, 37 minutes remaining in their rest period. We're at 20 hours, 23 minutes into the flight and this is Apollo Control, Houston.
This is Apollo Control, Houston. We wish to make an announcement that the writer pool meeting - this is a writer pool for the Missions Operations Control Moon - Room - is getting under way at the present time in the small auditorium in building 1. This is Apollo Control, Houston.
Flight Plan page 3-18.
Download MP3 audio file. PAO loop.
This is Apollo Control, Houston at 21 hours, 21 minutes now into the flight of Apollo 13. Apollo 13 is now 93,640 nautical miles [173,421 km] away from Earth; its velocity now reading 5,699 feet per second [1,737 m/s]. There's 1 hour, 38 minutes remaining for the rest period of Jim Lovell, Jack Swigert, and Fred Haise. Based on Madrid tracking of the S-IVB, we're presently predicting a point of impact of 8 degrees, 35 minutes south; 33 degrees, 54 minutes west at a Ground Elapsed Time of 77 hours, 51 minutes, 32 seconds. These are very early numbers and subject to considerable refinement through further tracking. We're at 21 hours, 22 minutes; continuing to monitor; this is Apollo Control, Houston.
Download MP3 audio file. PAO loop.
This is Apollo Control, Houston at 21 hours, 55 minutes since lift-off. Apollo 13 is presently 95,511 nautical miles [176,886 km] out from Earth and now traveling at a speed of 5,620 feet per second [1,713 m/s]. In Mission Control Center, we're now experiencing a changeover in flight control teams. The Lunney team has reported aboard, replacing Gene Kranz's team of flight controllers. At the Capsule Communicator position, Joe Kerwin is in now in place of Jack Lousma. For the entire shift we had no contact with the crew as they were in a rest period. Jack Lousma although he served as our capsule communicator, can be distinguished by the fact he had absolutely nothing to say over the loop this morning. We're at 21 hours, 56 minutes into the flight and this is Apollo Control, Houston.
Download MP3 audio file. Audio file reconstructed from PAO feed and direct air-to-ground communications.
Flight Plan page 3-19.
023:11:14 Lovell: Hello, Houston. Houston, Apollo 13. Over.
023:11:17 Kerwin: Good morning, 13. This is Houston. How are you?
It is 24 minutes past 12 in the afternoon in Houston.
023:11:22 Lovell: Read you loud and clear. We had a fairly good night's sleep.
023:11:32 Kerwin: Okay. Real fine. At your leisure, you can give us radiation reports, I guess. And, we're getting a consumables update together for you, and a few other little details whenever you're ready to talk. About the only major thing on the spacecraft is that it's been getting farther away.
023:11:51 Lovell: Okay. Well, that's to be expected, I guess.
023:11:54 Kerwin: Yeah.
Long comm break.
Fred Haise later recalls that things weren't quite as pleasant as they made them sound like on the radio. This is perhaps not unexpected. Astronauts were famously reticent to discuss their medical status on the open radio loop.
Haise, from 1970 Technical debrief: "On the morning of the second day, I woke up with a pretty severe headache. I drank some juice and ate some bacon cubes. That didn't sit right and I upchucked about 2 ounces of my juice. I sat still for about half a day pretty much; I never had any symptoms again after that."
Fred's malaise was later attributed to space sickness. The exact etiology of this condition is still somewhat unclear, but it is most likely caused by confusing sensory input received by the brain from the balance organs inside the ear. This is akin to motion sickness experienced in more terrestrial vehicles, but caused by weightlessness. Astronauts experience nausea, vomiting, malaise and discomfort associated with moving their heads in zero g. Waiting it out appears to be the only effective remedy - as Fred discovered as well.
This is Apollo Control at 23 hours, 12 minutes Ground Elapsed Time. Apollo 13 now 99,589 nautical miles [184,438 km] out from Earth; velocity continuing to decelerate, now showing 5,453 feet per second [1,662 m/s] in velocity. Spacecraft Commander Jim Lovell just called Houston about - oh, some 12 minutes past the scheduled wake-up time. It had been decided here in Mission Control to let the crew sleep as long as they wanted to this morning because it's rather a relaxed day. We'll play back the tape now of this first few sentences of conversation and rejoin any subsequent conversation live.
Download MP3 audio file. PAO loop.
023:15:38 Haise: And we're starting to charge battery A, Houston.
023:15:44 Kerwin: Rog on battery A, Fred. EECOM says battery B looks real good.
023:15:51 Haise: Okay. [Long pause.]
Command Module batteries A and B were on the line for the launch and subsequent maneuvers, and need to be recharged. This has been going on since after the TLI.
023:16:46 Lovell: Houston, 13.
023:16:48 Kerwin: Go ahead.
023:16:51 Lovell: Okay. For information, Fred was on comm last night; and he was over in the left-hand seat, and if you want our radiation readings, we just goofed. We left them all in the suits which are now nicely tucked away. We're going to get out Jack's suit in an hour or so anyway, and we'll get his dosimeter out if you wanted to get the reading on that one.
023:17:13 Kerwin: Okay, Jim. That'll be satisfactory.
023:17:17 Lovell: Okay.
Each crewmember wears a passive dosimeter, which will gather data on any radiation exposure they might experience while in space. Any Apollo astronauts going to the Moon are outside the protection offered by the Earth's magnetic field, and hence the various sources of radiation in space, such as cosmic background radiation and the Sun, are a true concern.
It is not random information that they pass on in regards to the sleeping arrangements. Their exposure to radiation is governed by many variables, including their position inside the spacecraft. This affects just how much dense material they have between themselves and any possible high energy rays or particles coming from the outside. The crew wore the dosimeters under their spacesuits and were supposed to move them to the pockets of their flight coveralls, but apparently forgot. This would not be the first nor the last time the Apollo crews showed somewhat absent-minded regard to the radiation safety measures.
023:17:18 Kerwin: And in exchange for that, the Surgeon would like to have a rough number of hours each of you slept and a qualitative verb to describe whether it was good, fair, or poor.
023:17:30 Lovell: Okay. Stand by. [Long pause.]
023:17:46 Lovell: Okay, Houston. We had an average of around 5½ hours [garble]. [Long pause.]
023:18:06 Kerwin: Jim, Houston. Your comm got pretty garbled there just as you started to talk. [Long pause.]
023:18:38 Lovell: Okay. Houston, Apollo 13.
023:18:40 Kerwin: Okay, 13. You're loud and clear again.
023:18:45 Lovell: We averaged about 5½ hours sleep apiece, and we're estimating that the sleep was good.
Sleeping in weightlessness is not easy, especially in the early stages of the missions. The physical oddity of the act combined with the excitement of a space flight meant that it came as no surprise that sometimes the crews resorted to barbiturate sleeping pills that were carried onboard.
023:18:53 Kerwin: Okay. Copy that. [Pause.] Let's see what else we got for you, Jim. Midcourse-2 looks like about 23 feet per second [7 m/s], approximately retrograde and on time. And it's holding real firm there. For your information, and you don't need to copy this down, because it's still pretty soft, but we have an S-IVB impact of about 8.57 south and about 33.9 west, which is a little west and a little south of the Flight Plan value. We have it at a GET of about 77 plus 51 which is just before AOS, and the LOI paths are a little bit late, and as I say, it's still pretty soft, and we'll be updating you with firm numbers.
023:19:57 Lovell: That's fine, Joe. Just as long as it doesn't hit Cone Crater.
Cone Crater is their landmark in the Fra Mauro landing target zone.
023:20:02 Kerwin: Okay. And I'll have a consumables update for you in a little while, and I have a small Flight Plan update for you sometime a little later on when you're ready to copy. There's no big deals in it.
023:20:19 Lovell: Roger.
023:20:23 Kerwin: And, 13, Houston. We'd like to verify that you cycled the O2 cryo fans. We saw the H2, but we didn't see the O2 get stirred up.
023:20:35 Swigert: Yeah, Joe. We did and - kind of looked like we might have had a little stratification because right after we put them on, we had a Cryo Press light.
023:20:45 Kerwin: Okay. EECOM told me that might happen, and he was right.
Varying temperatures in the cryogenic tanks can cause the supercritical (semi-fluid, semi-gaseous) material to form layers of different density. This can cause the pressure to go past the sensor level to trip the alarm to warn the crew about such a state. Mixing the contents of the tank with the electric fans is a way to homogenize the contents. This is a standard chore for the crew to maintain their power system.
Comm break.
023:21:54 Swigert: Okay, Joe. We're ready to copy a Flight Plan update and your consumables.
023:22:00 Kerwin: Okay, Jack. [Pause.] The Flight Plan update has a couple of items in it, and the first one we'd like to do is to update the Tephem values in the G&C checklist on page G/9-2. These are fairly small changes, but in case you need them, we'd like you to have the exact numbers. Over.
This changes some time parameters that are involved with the calculation of the spacecraft's state vector.
023:22:25 Swigert: Okay. Just a minute. I'll get it out. [Long pause.]
023:22:56 Swigert: Joe, was that the G&C checklist, page 9-2?
023:23:00 Kerwin: That's affirmative. G&C, page G/9-2.
Page G/9-2 of the Guidance and Control Checklist for the Command Module, with the numeric values they are to alter.
023:23:08 Swigert: Okay. Go ahead.
023:23:09 Kerwin: Okay. On that page in line 04, column B, change the number from 03366 to 05253. Over.
023:23:30 Swigert: [Garble] 53.
023:23:31 Kerwin: Okay. And in line 05, column B, change from 11000 to 33661. Over.
023:23:47 Swigert: 33661.
023:23:50 Kerwin: Okay. That's right. The only other thing I've got for you, Jack, is three additional questions for the booster systems debriefing, which is to take place at about 25 hours, and we thought we'd pass these questions up to you early so you can consider them. Over.
The booster briefing is in a form of questions pre-written in their Flight Plan. They are adding a few more questions to further investigate the S-II center engine premature shutdown. In Apollo parlance, these crew observations and sensations would be known as 'physiological cues' to something being awry.
023:24:12 Lovell: Okay. We're ready to copy.
023:24:15 Kerwin: Okay. The first extra is, and let me get the original question because this question says, "More specifically on item 2," and item 2 says, "Were there any significant changes in the noise vibration level during the single stage of powered flight? Specifically, describe your observations during the early S-II center engine cut-off, and approximately 90 seconds prior to TLI cut-off, you reported a high vibration in the S-IVB. We'd like you to describe the build-up of this vibration and its behavior through cut-off." Over.
023:25:02 Lovell: Okay. Essentially, what you'd like us to talk about is vibration sequence during the early S-II cut-off of the center engine and also describe the vibrations that we encountered during the S-IVB TLI burn. Is that correct?
023:25:17 Kerwin: That's it. Okay. The second extra question is for you, Jim, and it says, "Comparing this flight with your ride on Apollo 8, were there any significant differences in the powered flight environment?"
023:25:35 Lovell: Okay. We'll describe a comparison with 8 and 13 as far as powered flight goes.
Jim is the first person to fly on the Saturn V twice, hence he is the perfect (and only!) man to answer.
023:25:41 Kerwin: Roger. And the last additional question is what did the ORDEAL ball look like during TLI? As you know, we passed you an update to that setting, and we'd like to know whether it was riding right on zero or what during the burn. Over.
023:26:00 Lovell: Okay. Will do. Well we'll describe the ORDEAL ball.
The ORDEAL mode on the 8-ball is used during the TLI to monitor their attitude.
023:26:03 Kerwin: Okay. That's it, and that's the whole Flight Plan update. I have a consumables update now if you want to listen to that.
023:26:12 Lovell: Okay, Joe. We're ready to copy.
023:26:14 Kerwin: Okay. At 23 hours, the total RCS is 1121, quad A is 274, quad Bravo is 286, quad Charlie is 274, quad Delta is 287; and the cryos are as follows: H2 tank 1, 83 percent; H2 tank 2, 86 percent; O2 tank 1, 87 percent; O2 tank 2, 87 percent. Over.
Recreation of the cryo gauges as they would have appeared around this time.
A series of gauges in the Main Display Console show the quantity and pressure status in the spacecraft's four cryogenic H2 and O2 tanks in the Service Module. The onboard readouts are subject to more inaccuracies than the values derived in Mission Control from a variety of sensors and taking into account many variables needed to get a good reading. Hence the comparison is important to make sure that both the crew and Mission Control knows where they stand in terms of their consumables.
The quantity of Reaction Control System (RCS) fuel is described in terms of propellant left in pounds. With 1,342.8 pounds loaded, only 237 pounds have been consumed so far. The RCS propellant quantity is determined not by direct measurement of the remaining propellant and oxidizer but by measuring the RCS pressurization helium pressure to temperature ratio. Difficulties in fluid measurement in zero G led to this roundabout means of calculating remaining fuel.
023:27:07 Swigert: Okay, Joe. We got all those, and how do we compare them with where we should be in the timeline?
023:27:15 Kerwin: As I understand it, Jack, you're running slightly ahead of nominal in both those areas.
023:27:24 Swigert: Okay; real fine.
023:27:25 Kerwin: No problems. [Long pause.]
023:28:07 Kerwin: And, 13, Houston. That's all the business I got right now. I have a little news plan of the day for you, if you feel like listening to that a little later on. [Long pause.]
023:28:30 Lovell: Just hold off a little bit there, Joe, if you don't mind [garble].
023:28:36 Kerwin: Stand by one, Jim. You're coming in garbled again.
Comm break.
023:29:58 Swigert: Houston, 13.
023:30:00 Kerwin: Okay, 13; Houston. Loud and clear again. Go ahead.
023:30:05 Swigert: Okay. Joe. On the news, Jim would like to hold off a little bit on that, and I want to make a request to FAO, if he will at some time during the day, when we have a - get a Flight Plan update with those activities we agreed to make optional during lunar orbit and the few activities we were going to delete, I think that I forgot and left that card back during the press of suiting, I left it in the suit room.
023:30:33 MCC: Okay. Wilco.
023:30:35 Kerwin: Okay, Jack. I understand FAO's working on that and we'll have something for you later on.
023:30:42 Swigert: Okay. We're not in any hurry.
023:30:45 Kerwin: Rog.
Very long comm break.
Download MP3 audio file. PAO loop.
023:47:00 Swigert: Okay, Houston; 13. [Pause.]
023:47:11 Kerwin: Okay. Jack. We copy the angles. You can go ahead and torque them. [Pause.]
023:47:24 Swigert: Okay. Joe. The time of torqueing will be 23 hours, 47 minutes, 30 seconds.
023:47:30 Kerwin: We copy.
Jack has completed his fourth realignment of the guidance platform. This is done to compensate for any drift from the perfect alignment to the PTC REFSMMAT orientation on their IMU. He sighted on star 31 Arcturus (Alpha Boötis) and star 36 Vega (Alpha Lyrae). His sighting accuracy was such that the difference in the angle reading was 000.01 degrees. The angles by which the gimbals are rotated or 'torqued' to restore perfect alignment are -0.283° in X, -0.161° in Y and +0.403° in Z.
Long comm break.
Download MP3 audio file. PAO loop.
023:54:45 Lovell: Houston, 13.
023:54:48 Kerwin: 13, Houston. Go ahead.
023:54:51 Lovell: For information, Joe, we're all configured back again now to our regular seating positions, if you're monitoring us.
023:54:59 Kerwin: Okay. Thank you, Jim.
Very long comm break.
Flight Plan page 3-20.
Download MP3 audio file. PAO loop.
This is Apollo Control; continuing to monitor the air/ground from Apollo 13. Crew now in breakfast period. About an hour from now, the launch vehicle's systems performance debriefing will be carried out between the crew of Apollo 13 and the flight controllers here in the Mission Control room. Additional questions, over the ones that were preplanned and included in the Flight Plan, will be passed to the crew from the Booster systems engineer; the philosophy being that many of the debriefing items can be carried on in flight during rather quiet periods of the coast phases of the flight, and thereby reduce the amount of debriefing done after recovery. Spacecraft now 102,342 nautical miles [189,537 km] out from Earth. Velocity now 5,345 feet per second [1,629 m/s]. Ground Elapsed Time now at 24 hours, 5 minutes. Apollo Control continuing to stay live in anticipation of the morning news being read up by spacecraft communicator Joe Kerwin to the crew and a rather quiet day all in all. Coming up at 30 hours and 40 minutes with midcourse correction burn number 2 which is the hybrid transfer maneuver to take the spacecraft out of the free return trajectory and place it in a non-free return, but still within the capability of the propulsion systems of the spacecraft to get back onto a free return. Pericynthion, should this maneuver not be made, would be 252 nautical miles [467 km] above the Moon. Post burn, it's more in the neighborhood of 60.2 nautical miles [111.5 km] if the maneuver is done on time and with the desired velocity change. 24 hours, 6 minutes; continuing to stand by.
An orbit around the Moon will have a low point and a high point, each known as perilune and apolune respectively. But an object arriving at the Moon from outside its gravitational sphere of influence has only one such point, the point of closest approach and this is known as the pericynthion. Their current calculated pericynthion is much higher than that required to get into their desired lunar orbit so the function of MMC-2 is to bring it down to the desired 60 nautical miles (111 km).
Download MP3 audio file. PAO loop.
024:16:02 Lovell: Hello there, Houston; 13.
024:16:08 Kerwin: 13, Houston. Go ahead.
024:16:12 Lovell: Gosh, we had forgotten, but we'd like to hear what the news is.
024:16:15 Kerwin: Okay. There's not a whole lot to it. Well, let's see, we'll start with the - Let's start with sports, what the heck. The Astros survived 8 to 7, the Braves got five or six runs in the - five runs in the ninth inning, but they just - they just made it; and in the other important game of the day, the Cubs were rained out. I have all the rest of the scores, you can tell me if you want any of them. They had earthquakes in Manila and other areas of the island of Luzon. There were three tremors and they kept the buildings shaking for about a half an hour or so, and it was about a 5 on the Richter scale. Okay, let's see. The Beatles have announced they will no longer perform as a group. The quartet is reported to have made in excess of a half billion dollars during their short musical career. However, rumors that they will use this money to start their own space program are false.
The traditional news report includes baseball scores and world events. Earthquakes had been rattling the Philippines throughout the month - a week earlier, several people died when a stronger quake hit Luzon.
While Apollo 13 did not make massive headlines for their launch, there was one sure topic that dominated the front pages of newspapers - the breakup of the super pop/rock group The Beatles with Paul McCartney departing from the band to start a solo career.
024:17:24 Lovell: Maybe we could borrow some.
024:17:26 Kerwin: [Laughter.] Okay. Okay; West German Chancellor Willy Brandt, who witnessed your launch from the Cape yesterday, and President Nixon will complete their round of talks today. Brandt reportedly came to the U.S. to seek assurance from the President to go ahead with talks with the eastern European nations, especially East Germany, Poland, and Russia. Many air traffic controllers are still out, but reports indicate that they are slowly returning to work, and you'll be happy to know that the controllers here in the MOCR are still on the job.
Like so many things in NASA, everything seemed to get an abbreviation which immediately became an acronym - treated like a word. In this case, the Mission Operations Control Room (or just Mission Control to the rest of the world) was known as the MOCR and pronounced to rhyme with 'poker'.
The West German Premier’s visit to Cape Canaveral was part of a 9-day-long stay in the US where he also visited Texas, New Mexico, Camp David, and Washington DC. The speculation presented is valid - by December, first treaties had been signed with the Soviet Union, taking steps towards normalizing diplomatic relationships between West Germany and the Eastern Bloc.
US air traffic controllers had been striking since March the 25th, causing widespread disturbance of air travel throughout the United States.
024:18:04 Lovell: [Garble]
024:18:05 Kerwin: Go ahead.
024:18:09 Lovell: I said thank goodness for that.
024:18:10 Kerwin: Okay. Some truck lines are being struck in the Midwest, and the school teachers have walked off the job in Minneapolis. Today's favorite pastime across the - Uh oh; have you guys completed your income tax?
The Minneapolis Strike of April 1970 saw pay rises and wider rights for bargaining among the civil servants in the state.
024:18:28 Lovell: How do I apply for an extension?
024:18:31 Kerwin: [Laughter.]
024:18:32 Swigert: Yeah, Joe. I got to - hey, listen - It ain't too funny; things kind of happened real fast down there, and I do need an extension.
024:18:43 Kerwin: [Laughter.]
024:18:44 Swigert: I didn't get mine filed. I'm really serious; would you...
024:18:47 Kerwin: You're breaking up the room down here.
Laughter is heard in the background on the open comm loop, from Mission Control enjoying the news about Jack's taxes.
024:18:49 Swigert: ...because I may be spending time in a...
024:18:51 Kerwin: We'll see...
024:18:52 Swigert: I may be spending time in a - I may be spending time in another quarantine besides the one that they are planning for me.
024:18:59 Kerwin: We'll see what we can do, Jack. We'll get with Recovery and see if we can get the agent out there in the Pacific when you come back. By golly, let's see. In professional basketball, the Knicks beat the Milwaukee Bucks 110 to 102, and Billy Casper is leading the Masters after 54 holes with a 208, and spring football practice is in full swing. And that's about all the news we got; the updated plan of the day for you guys, the uniform will be service dress inflight coverall garments with swords and medals, and tonight's movie shown in the Lower Equipment Bay will be John Wayne, Lou Costello, and Shirley Temple in the 'The Flight of Apollo 13.' Over.
In the event, there was a major and memorable motion picture called Apollo 13. Starring Tom Hanks as Jim, Bill Paxton as Fred, and Kevin Bacon as Jack; with scene-stealing performances from Gary Sinise as Ken Mattingly and Ed Harris as Gene Kranz, it came out in 1995 and successfully managed to capture the spirit of the age, as well as telling the story of what Apollo 13 would become.
Billy Casper would go on to win the Master’s golf tournament on April 13th.
024:19:50 Lovell: Outstanding. [Long pause.]
024:20:06 Lovell: Houston, this is 13. Is it true that Jack's income tax return was going to be used to buy the ascent fuel for the LM?
024:20:18 Kerwin: Well, considering that he's a bachelor and hasn't got that deduction to take, yeah! [Pause.]
Swigert's bachelor status was near legendary, even in contemporary times. The prime CMP Ken Mattingly was single as well, incidentally, but did not enjoy similar notoriety.
024:20:29 Swigert: Hey, Joe. I'm glad you brought that up, because I was really serious about that.
024:20:36 Kerwin: Okay, Jack. We'll - We'll - we'll take care of it. Tom Stafford says he'll get an extension for you.
Tom Stafford was the head of the Astronaut Office at the time, having inherited the job from Alan Shepard, now back in active duty and training for Apollo 14.
024:20:43 Swigert: Okay. [Pause.]
024:20:50 Kerwin: And Jim McDivitt says, "Yeah, now that you mention it, he forgot to fill the ascent stage."
Astronaut, Colonel James A. McDivitt was a Manager of the Apollo Program at the time. He had moved behind the desk after successfully testing the Lunar Module in Earth Orbit in 1969 on Apollo 9.
024:21:00 Lovell: [Laughter.] Suspicions confirmed.
024:21:04 Kerwin: Should give you very good performance on descent.
024:21:11 Haise: We should have a lot more hover time, huh?
024:21:13 Kerwin: That's right. [Pause.]
024:21:23 Kerwin: Okay, crew. About the only other thing I've got for you right now is an update to your P37 PAD for Lift-off plus 35. This is a change to the PAD we gave you yesterday. The reason for the update is for weather avoidance in the mid-Pacific landing area at 70 hours, which is the return time for this PAD, and in case the question arises in your mind, we don't expect any problem there for the end of the mission. The weather area is 20 degrees south of your end-of-mission landing point, and it appears to be moving to the south.
024:22:01 Lovell: Okay, Joe. I'm ready to copy the PAD.
024:22:03 Kerwin: Okay. GET of ignition is 035:00; Delta-VT, 7883; Longitude, minus 155; and the GET 400K, 069:54. Over.
Time of ignition: 35 hours, 00 minutes.
Delta-V: 7,883 feet per second (2,388.11 metres/second). This is a maximum specified value.
Longitude of splashdown: 155° west;
Time of Entry Interface: 069 hours, 54 minutes GET.

024:22:28 Lovell: GETI is 035:00, 7883, minus 155, 069:54.
024:22:39 Kerwin: Okay. [Long pause.]
This PAD was one of a set of four PADs read up at 012:01:24. Each represented a get-you-home ticket with different ignition times.
024:23:17 Lovell: And, Houston, Jack's going to try donning his suit now for practice, himself, and when he gets it out, we'll give you a dosimeter reading.
024:23:26 Kerwin: Okay. Real good.
Very long comm break.
Download MP3 audio file. PAO loop.
024:41:49 Lovell: Houston, Apollo 13.
024:41:51 Kerwin: 13, Houston. Go.
024:41:55 Lovell: Okay. We've retrieved Jack's dosimeter, and it's reading 02022. [Pause.]
024:42:07 Kerwin: Okay. We copy 02022 on the dosimeter, Jim.
024:42:14 Lovell: That's affirm. [Long pause.]
Each dosimeter is set to start from a different numeric value, so as to make interpreting them easier. Having all of them give out very similar numbers could cause confusion. This is eliminated via a simple trick such as this.
024:42:31 Kerwin: 13, Houston. At your convenience, we'd like the LM/CM Delta-P reading.
024:42:37 Lovell: That reading is 0.65 psi.
024:42:42 Kerwin: Copy 0.65. Thank you.
Very long comm break.
This reading represents the pressure difference across the forward hatch of the CM. It therefore really represents the difference in pressure between the CM cabin and the short tunnel that runs between the CM and LM. If the absolute pressure in the CM is 5.5 psi [37.9 kPa], then the tunnel is likely to be at 4.85 psi [33.4 kPa] absolute.
Flight Plan page 3-21.
Size of the Earth and its illumination as it would have appeared at the time. Computer-generated image from the Flight Plan.
Download MP3 audio file. PAO loop.
025:10:56 Kerwin: Apollo 13, Houston. Over.
025:10:58 Lovell: Houston, Apollo 13. Roger. We're thinking together. And we're here waiting for your call.
025:11:07 Kerwin: Okay, you were a little broken up there, Jim, but I think it's getting better. We're ready for the launch vehicle systems debriefing whenever you are. [Long pause.]
025:11:31 Lovell: Okay, Houston; Apollo 13. You were cut out again; say again, please.
025:11:35 Kerwin: Roger, Jim. We're ready for the launch vehicle systems debriefing whenever you are. Over.
025:11:43 Lovell: Okay. Stand by 1. [Long pause.]
Booster debriefing questions from the Flight Plan.
The questions were pre-printed onto the Flight Plan, with a few additions read to them earlier over the radio.
025:12:00 Lovell: Okay, Houston; 13. In answer to question 1, the changes in the noise level occurred mainly between the first stage and the other stages - the other stages were about the same in noise level, very quiet, but the first stage, of course, was - made quite a bit of noise in the beginning but - which built up during the high Q, and then [garble] went quiet just after high Q.
025:12:31 Kerwin: Okay, copy that, Jim.
025:12:37 Lovell: I might mention that the noise level during the first stage was not sufficient to be uncomfortable at all.
025:12:46 Kerwin: Roger. And I assume comm was okay.
025:12:50 Lovell: That's affirm. Comm was very good all during - throughout the entire flight. Much better than I expected.
025:12:57 Kerwin: Okay.
025:13:04 Lovell: Now, in answer to question 2, there was, of course, a vibration transient in the second stage that - due to the number 5 engine going out - which occurred shortly before the engine went out, and slightly after that then the S-II stage was very smooth. [Pause.]
025:13:33 Kerwin: Okay, Jim. I guess the significant point there is that you didn't notice the vibration before you saw the engine light.
025:13:39 Lovell: That's right. We - we noticed the vibration but it wasn't such that we thought something catastrophic was going to happen; it just started vibration and then the EN light came on, and then the vibration went away and the stage itself was smooth.
025:13:59 Kerwin: Okay, copy that.
025:14:03 Swigert: Yeah, and that - it was all pretty - pretty short in span - just a second or so before and like a second afterwards, Joe.
025:14:14 Kerwin: Oh. Roger.
025:14:18 Lovell: And on the S-IVB, the vibration of the vehicle itself wasn't what [garble] second [garble] powered flight - a very high frequency vibration.
025:14:33 Kerwin: That was - was that during - just during TLI, or did you notice that at insertion? [Pause.]
025:14:45 Lovell: Well, it was a high-frequency viola - vibration but more noticeable during the TLI burn than it was during the boost [garble] flight.
025:14:59 Kerwin: Okay, I - understand. [Long pause.]
025:15:13 Haise: I guess the S-IVB vibration during TLI was there all the time although it seemed to - to grow to us as the burn progressed, although that may have been just due to the boost weight decrease.
025:15:30 Kerwin: Okay, you called this about 3½ minutes, but I guess the thing was slowly building up throughout the whole burn. Right?
025:15:37 Haise: That's right.
025:15:40 Kerwin: Okay, was it uncomfortable or did it cause your vision to degrade or anything like that?
025:15:46 Lovell: No, it - it was not uncomfortable at all but I was recalling the ride on 8, and the S-IVB was more - much more smooth than even it was on 13.
025:15:59 Kerwin: Copy that. [Long pause.]
025:16:24 Lovell: Okay, now, in answer to number 3, we did not experience any unexpected transients except that all of us noticed the PU shift. We thought it was more pronounced than we had expected it to be.
025:16:39 Kerwin: Okay. Understand.
As the S-IVB operates, there is a point where the mixture ratio of the propellants is changed to help maximise their utilisation. This is achieved with the operation of a 'propellant utilisation' or PU valve and usually, the crews could feel the change in thrust caused by its operation, the so-called 'PU shift'.
025:16:42 Swigert: Joe, on that. I guess most of every time that PU shift occurred we all - almost all of us glanced at the engine light. We could feel definite acceleration change.
025:16:53 Kerwin: Rog. Understand, Jack.
025:16:58 Lovell: And, during the high-Q portion of the flight, the Alpha meter, to my knowledge, never went above [garble].
025:17:06 Kerwin: Okay.
The multi-use alpha/SPS press gauge. Photographed onboard the Odyssey
A meter in front of the left seat (commander's position) is normally used to indicate the combustion pressure in the SPS engine. During ascent on the Saturn V, it has a different function where it indicates the aerodynamic angle of attack of the vehicle as it ascends. Its information is derived from air pressure measurements across a series of eight holes at the tip of the Launch Escape Tower. According to the Saturn V Flight Manual, this reading should not exceed 25 to 50 per cent.
025:17:14 Lovell: In answer to number 4, we got a pretty good look at the thermal shroud and the IU after taking the LM away, and from our viewpoint, the shroud was completely intact. I saw no loose particles or parts of it floating at all.
025:17:30 Kerwin: Okay, Jim. Understand. [Pause.]
025:17:40 Lovell: And, I guess we answered number 5. I don't think at any time did we have any communication problem during powered flight.
025:17:45 Kerwin: Roger. [Long pause.]
025:17:59 Lovell: In answer to number 6, the answer is essentially no. We saw no venting or suspected leak on the LM or the CSM.
025:18:14 Kerwin: Okay, Jim. I guess you described to us the nonpropulsive venting on the S-IVB after the APS maneuver and we copied that at the time. [Pause.]
025:18:30 Lovell: Okay. Fred saw the S-IVB venting.
025:18:33 Haise: Yes, we had already talked about that, Joe. And that was also visible when it - of course, when it did its evasive maneuver when we were looking at it right close up.
025:18:44 Kerwin: Roger. [Long pause.]
025:19:12 Lovell: Okay, Joe. The last time we saw the S-IVB positively was when Fred saw it venting at about - at about 5 hours. We think we might have picked it up later on. We saw a particle or something out there that was tumbling which might have been the booster or one of the SLA panels.
025:19:34 Kerwin: And when was that, Jim? [Pause.]
025:19:41 Lovell: We're - we're debating. It was somewhere between - say 7:30 and 9 hours.
025:19:47 Kerwin: Okay.
025:19:50 Haise: But, Joe, assuming the S-IVB is still stable. The object I was looking at was definitely tumbling.
025:20:01 Kerwin: Okay, Fred. As I recall, it was stable then, although it's tumbling now.
025:20:08 Haise: Okay. It probably was the SLA panel I picked up.
025:20:14 Kerwin: Right. Incidentally, I guess the guys in building 6...
025:20:17 Lovell: Oh and I think we...
025:20:18 Kerwin: Go ahead, Jim.
025:20:19 Lovell: I - I think we answered number 9. We - at around 5:32, I think, was when we think the number 5 light came on in the S-II, and a definite vibration which was more than just a high-frequency vibration we got with the normal S-IV burn, and then the light came on. I called ECO thinking from the training that it was 7:42 and looked up at the time and realized it was early. And then, soon after the light came on, the vibration stopped and the engine or the booster smoothed down. It was very smooth from there on. [Pause.]
025:20:59 Kerwin: Okay. This may be a stupid question, but do you have any idea of what the frequency of it was?
025:21:08 Lovell: Only to say that it was much higher - I couldn't really guess now. It was rather a rapid longitudinal vibration. [Pause.]
025:21:23 Kerwin: Okay, Jim. Stand by now for a minute, we're going to switch omni.
Comm break.
025:22:48 Lovell: Houston, 13, [garble]
025:22:51 Kerwin: 13, Houston. I read you. We still have quite a bit of noise on the loop.
025:22:59 Lovell: I'll stand by. Roger.
025:23:04 Kerwin: Okay, Jim. It should be pretty good now. We copied you answering question number 9.
025:23:16 Lovell: Do you want any more comments on the S-IVB vibration?
025:23:20 Kerwin: I don't think so. When you get all done, I'll - I'll make a quick check to see if the booster people have any - any additional questions. You skipped number 8, Jim; could you go back to that for a second?
025:23:34 Lovell: Okay, stand by. [Long pause.]
025:23:54 Lovell: Our only comment there, Joe, was that the burn on TLI, to our knowledge, was about 3¾ second longer than had been predicted and that was the only thing that we really noticed; otherwise, looked like VI was nominal at cut-off.
025:24:11 Kerwin: Okay, understand. [Long pause.]
025:24:23 Lovell: Okay, on comparing the flight of 13 to Apollo 8, lift-off was about the same amount of vibration as I noticed on 8, but at the beginning of the flight, there was less of the sideways motion than we experienced on Apollo 8. The S-IC separation felt more violent on 13 than it did on 8, maybe that's because I was in a different seat, I don't know. But there was about three sharp transients of the cut-off and a couple of big bangs where we were thrown backwards longitudinally on our straps before the S-II went off. And the S-II was, of course, just as smooth on 13 as 8 except for the number 5 engine. And we did not experience the vibration that we experienced on 8 towards the end of the S-II burn. And the S-IVB was - had more vibration than we had on 8.
025:25:31 Kerwin: Okay, Jim, got all that.
025:25:39 Lovell: The up - the update on the ORDEAL ball was a good one. At the burn, we were about - just about 8 degrees. We had to pitch down. The yaw was right on, all the way through the entire burn, and just towards the end of the burn, the ball started going back in pitch a little bit. [Pause.]
025:26:03 Kerwin: Okay, sounds good, we'll give Mike Wash a gold star on that one. [Pause.] Okay, Jim, stand by 1 while I see if we have any extra questions. [Long pause.]
025:26:44 Kerwin: Jim, while we're waiting to see if they have any more questions, I'd like to read you the booster people's preliminary analysis on the - the S-II cut-off. Over.
025:26:58 Lovell: That's very interesting. Go ahead.
025:27:00 Kerwin: Okay, preliminary analysis of the data indicates that the center S-II engine vibrated at a somewhat higher amplitude than we've seen on previous flights, and it started at about 160 seconds into the S-II burn. As a result of these vibrations, the engine chamber pressure decreased to the level where the two low-level thrust sensors, the thrust-okay sensors, initiated center engine cut-off. Early evaluation of data indicates that no damage occurred to the engine, and the cause of the increased vibration amplitude is still under investigation. Over. [Pause.]
The reason for the centre engine early cut-off was ascribed to the S-II's LOX tank being at a slightly low pressure. As far as the engineers were concerned, this pressure was within acceptable limits but as it turned out, it was low enough to cause cavitation within the LOX turbopump of the centre engine.
Cavitation is when a pump's mechanism is raising pressure so aggressively that bubbles form on the low-pressure side of active surfaces. A good example is a boat's propeller which is often seen to produce cavitation bubbles on one side of each blade. Having formed, these bubbles can implode violently, their shock waves damaging the surface. For the LOX turbopump, the problem they presented was that they reduced the effectiveness of the pump, thereby causing a drop in the engine's thrust and setting up a vicious circle. Had the supply pressure been just slightly higher, the inducer and impeller would have been able to do their jobs properly.
Graphs of the vibration levels detected in the center engine before automatic shutdown. From the Saturn V Flight Experience Report.
The change in thrust caused by the cavitation fed back to other resonant mechanisms in the stage; the LOX supply duct, the flexing of the crossbeam support of the engine, the collapse of the cavitation bubbles and subsequent rise in thrust. This led to the engine moving back and forth on its flexing crossbeams by 'inches' and experiencing ±33.7g vibration at about 16Hz. The low part of the cycle in the thrust was enough to trip a sensor that was designed to detect excessively low thrust, and it was this switch that sent the command to shut the engine down.
025:27:43 Lovell: I'm glad it was the center engine.
025:27:48 Kerwin: Yeah, right. [Pause.]
025:27:58 Lovell: Joe, do you have any word on what marks we had for TLI?
025:28:04 Kerwin: At the time of TLI, as I recall, you had 6 seconds longer than the nominal burn which was 3 seconds longer than the 3-sigma low burn, and you were also Go for a second-opportunity TLI if we had required one. [Pause.]
025:28:24 Lovell: Okay, we were just wondering because it appeared to us that we had a longer TLI burn than had been predicted.
025:28:30 Kerwin: Yes, you did. We confirmed that - that - that cut-off time just about as you saw it, and I don't have an explanation for it, but it was within the 3-sigma margins.
Comm break.
The propellant margins for the vehicle had been reduced by the extra work required to haul the dead centre engine for longer than intended. It meant that with the various random unknowns in the system; precise values for propellant quantity, engine efficiency, propellant boil-off, the booster engineers couldn't be absolutely sure that the S-IVB would be able to complete the TLI burn.
Engineers often work with probabilities, with the most likely outcome being at the centre of a 'bell-curve' or 'normal' distribution. The mathematics of statistics shows how the width of the bell curve can be defined in terms of standard deviations from the norm. In this case, they were sure that the outcome would lie within the bell curve to three 'standard deviations' or 'sigma' away from the curve's centreline. So to say 'within the 3-sigma margins' essentially meant that the outcome had a probability of success of 99.7 per cent.
025:29:47 Kerwin: 13, Houston.
025:29:49 Lovell: Go ahead.
025:29:51 Kerwin: Roger, we have no further questions. All the answers were clear and satisfactory, and we thank you very much. You can press on with the rest of your busy day.
025:30:02 Lovell: Right-o.
Very long comm break.
This is Apollo Control. The Launch Vehicle Systems Debriefing has just concluded. No further questions from the Booster controllers pass through spacecraft communicator Joe Kerwin. Apollo 13 now 106,747 nautical miles [197,695 km] out from Earth; velocity continuing to slow down, now 5,179 feet per second [1,579 m/s]. The spacecraft will reach the midpoint in distance where it's equally far from the Earth to the spacecraft or from the spacecraft to the Moon at a Ground Elapsed Time of 27 hours, 20 minutes, 49 seconds. At that time it will be 112,070 nautical miles [207,554 km] both ways to the Earth and to the Moon. Continuing to stand by on the air-to-ground circuit for further conversation.
Flight Plan page 3-22.
Download MP3 audio file. PAO loop.
026:29:08 Haise: And, Houston; 13.
026:29:13 Kerwin: 13, Houston. Go ahead.
026:29:18 Haise: Okay, Joe. Out window 5, I just picked up the tumbling object again so, for sure, it must have been a SLA panel. I don't think we could still be in the proximity of the S-IV at this time.
Diagram of the Command Module windows. Number 5 is the right hand side window.
026:29:33 Kerwin: I don't think so, Fred. It's several hundred miles aft of you. 700 miles is - is the number, I'm told. And since the SLA panel didn't make the midcourse correction, that might be it. [Pause.]
026:29:51 Haise: Yes, it's - I can't really tell for sure even through the monocular that it is, but it looks the same relative position to the stars. And the best I can tell, about the same intensity and still about the same distance from us.
026:30:08 Kerwin: Can you see it tumbling. Does it have a shape, or is it a point?
026:30:19 Haise: No. I can tell it's tumbling; I guess the flat side not only is facing me, it's not only much brighter, it also grows larger.
026:30:34 Kerwin: Okay. Very interesting. We'll see if we can figure out where that's at relative to you. They keep updating the S-IV impact on us a little bit. The last guess we had was that it'll impact about the same longitude we gave you but close to zero latitude and a little bit later. You still won't be able to see it. And they're saying it might make a...
026:31:02 Haise: Roger.
026:31:03 Kerwin: ...they're saying it might make a 100- to 120-foot crater, too. [Pause.]
026:31:13 Haise: It'll - it'll still be past the terminator for us for a while.
026:31:19 Kerwin: Right. It will be at about the rev 20 terminator, so it will be late in your lunar orbit activities before you'll be able to photograph it, and FAO is looking at whether we can work that in or not.
026:31:36 Haise: Okay.
Very long comm break.
Download MP3 audio file. PAO loop.
026:43:26 Swigert: Houston, 13.
026:43:29 Kerwin: 13, Houston.
026:43:33 Swigert: Hey, Joe? Is FAO ready to - or do you - or are you ready to give me those items that we made optional and deleted in the solo book?
026:43:44 Kerwin: Jack, we're not quite ready with that yet, but we will be before too long. Can you wait awhile?
026:43:53 Swigert: Sure can. I got lots of time.
026:43:54 Kerwin: Okay.
Very long comm break.
Download MP3 audio file. PAO loop.
This is Apollo Control at 27 hours, 20 minutes Ground Elapsed Time. The crew, rather quiet during this period. Still in the Passive Thermal Control barbecue mode. Velocity now 4,991 feet per second [1,521 m/s]. Coming up, in slightly over 20 seconds, on the midpoint in distance, and at which time the spacecraft will be equally far from the Earth and from the Moon. The distance at this time will be 128,880.5 statute miles [207,413.1 km]. Coming up... Mark. That computes out to 112,070 nautical miles [207,554 km].
We note that the conversions between statute miles, nautical miles and kilometres don't match, implying that PAO has made a small error somewhere.
Continuing to leave the circuit live, as we anticipate further discussions. And later on today, the midcourse correction burn number 2 which will take Apollo 13 out of the free return trajectory into the so called hybrid trajectory, which would not necessarily return to the vicinity of the Earth. The closest approach would be something in the nature of 40,000 miles coming back from the non-free return trajectory. At 27 hours, 21 minutes Ground Elapsed Time and standing by; this is Apollo Control.
It is a measure of the increasing confidence that the managers have in their systems and people that NASA has allowed Apollo 13 to depart from the free-return trajectory by quite a long way. This is to allow access to sites that have a greater scientific interest. Prior to Apollo 13, missions kept very much to the plane of the Moon's orbit around Earth and by departing from that plane, they would not gain the full benefit of a gravitational loop around the Moon back to Earth. The assumption is that, in an emergency, there will always be sufficient capability from the available engines and propellant to restore the spacecraft to an Earth return. In the event, with the upcoming loss of the SPS, Apollo 13 will test their ability to use the LM's large descent engine to restore free return and bring them home.
Pre-flight plan for the Apollo 13 trajectory.
Their initial TLI trajectory is the so-called free return one, where their pass by the Moon will slingshot them back towards the Earth without other intervention. This would mean that a stricken ship would be simply sent back home, and any adjustments to their landing trajectory could be made with the remaining RCS systems.
The free return trajectory places great constraints on their lunar mission, however, such as the choice of the landing sites reachable with their approach trajectory, the resulting orbit, and the fuel available for further maneuvers. The so-called hybrid trajectory allows them to reach landing targets not possible via the free return trajectory.
Download MP3 audio file. PAO loop.
027:59:41 Lovell: Hello, Houston; Apollo 13.
027:59:49 Kerwin: 13, Houston. Go ahead.
027:59:54 Lovell: Just a passing comment, Joe. We're having lunch right now, and I just made myself a hotdog sandwich with catsup. Very tasty and almost unheard of in the old days.
Jim must be joking about the state of space food during the Gemini program, where they started with a smuggled sandwich (courtesy of John Young) and proceeded to various pastes in tubes and other equally appealing choices. Things have gone forward in leaps since, with a great variety of foodstuffs that attempt to give the astronauts the culinary comforts of home.
Flight Plan page 3-23.
028:00:07 Kerwin: That's correct, 13. As I recall the Flight Plan, you're supposed to put mustard on the hot dogs and not catsup, but I guess we'll overlook that.
028:00:18 Swigert: We blew it.
028:00:20 Kerwin: Right. How's everything going?
028:00:28 Lovell: Ah, Pretty good. We have about four different methods of spreading catsup, right now.
028:00:34 Kerwin: Okay. Jack, we'll have your update to you before too long.
028:00:41 Swigert: Okay. Fine, Joe. We did a pit check on the Hycon camera and everything works okay.
028:00:49 Kerwin: Okay. Beautiful. We don't have anything else for you at the moment.
The 'Hycon' lunar reconnaissance camera
The very large and heavy Hycon camera will be installed onto the hatch window to take high resolution photos of the lunar surface. One of its most remarkable qualities is using the vacuum outside to hold the film flat during exposure. To do this, they create suction by hooking up the auxiliary urine dump into the camera.
Very long comm break.
Download MP3 audio file. PAO loop.
028:46:44 Haise: Houston, 13.
028:46:49 Kerwin: 13, Houston. Go ahead. [Pause.]
028:46:56 Haise: Okay. We'd like to get the FM up now to look at some inside pictures there.
The signals from the television camera are modulated onto the Earthbound radio carrier using frequency modulation or FM. In the early days of radio, amplitude modulation was the simplest method of sending a low frequency waveform (especially audio) using a high frequency carrier. Simply raise or lower the level of the carrier in sympathy with the audio waveform. It was very prone to interference. For many decades FM became very common, particularly for audio. It is far less prone to interference and can carry a signal with great fidelity. More recently, broadcasting is dominated by the use of digital coding techniques which make much more efficient use of available bandwidth.
Post-Apollo papers on the development of the TV system imply that a digitally encoded system was briefly considered, but no technology mature enough was available at the time - nor it would be for several decades to come yet.
028:47:04 Kerwin: Okay. Stand by and I'll get a Go on this. [Long pause.]
028:47:57 Kerwin: 13, Houston.
028:48:01 Haise: Go ahead.
028:48:02 Kerwin: That's acceptable, Fred, and meanwhile, when you guys are ready to copy, we've got an MCC-2 PAD for you.
028:48:13 Haise: Okay. Stand by 1.
028:48:15 Kerwin: Roger that. And also if you can go to P00 and Accept conveniently, we'd like to uplink. [Pause.]
028:48:31 Haise: Okay. You've got it.
028:48:33 Kerwin: Okay. [Long pause.]
028:49:06 Haise: Okay, Joe. You can go ahead with the P30 PAD.
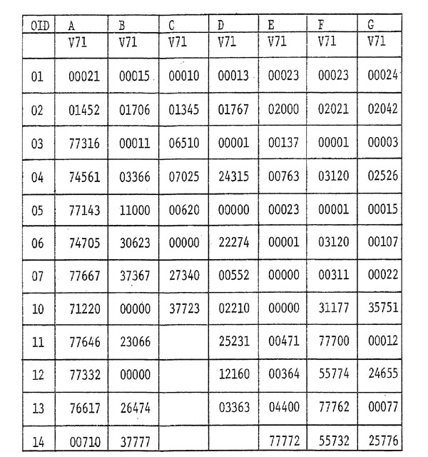
028:49:11 Kerwin: Okay. Here we go. MCC-2, SPS/G&N: 63634; plus 0.96, minus 0.23; 030:40:49.00; minus 0021.7, minus 0001.7, minus 0008.0; 080, 164, 326; N/A, N/A; 0023.2, 0:03.5 - We'll give you half a second on the burn time because it's so short - 0018.5; 44, 135.9, 28.1; and the rest is N/A. Comments: set stars 31 and 23; roll align 288, pitch 205, yaw 034; no ullage, LM weight 33499, and - Over.
028:51:02 Haise: Okay. MCC-2, SPS/G&N: 63634; plus 0.96, minus 0.23; 030:40:49.00; minus 0021.7, minus 0001.7, minus 0008.0; 080, 164, 326; N/A, N/A; 0023.2, burn time 0:03.5, 0018.5; 44, 135.9, 28.1; and the rest N/A. Set stars 31, 23; roll align 288, pitch 205, yaw 034; no ullage, LM weight 33499.
A P30 PAD stands for Program 30, 'External Delta-V'. In this context, 'external' means that the burn is calculated in the guidance computer using data received from the outside, usually in the form of a PAD from which the data is input into the computer for the burn calculations.
The PAD is interpreted as follows:
Purpose: This PAD is for a small burn to refine the spacecraft's trajectory at the second pre-planned opportunity for a midcourse correction. This will place them on the so-called hybrid, non-free return trajectory.
Systems: The burn would be made using the large SPS (Service Propulsion System) engine at the rear of the Service Module, under the control of the Guidance and Navigation system.
CSM Weight (Noun 47): 63,634 pounds (28,864 kg).
Pitch and yaw trim (Noun 48): +0.96° and -0.23°. These angles represent an initial direction for the gimbal-mounted engine in order to fire through the predicted centre of mass of the spacecraft. In this very short burn, the spacecraft's control system will not have an opportunity to make any further adjustment.
Time of ignition (Noun 33): 30 hours, 40 minutes, 49.00 seconds.
Change in velocity (Noun 81), fps (m/s): x, -21.7 (-6.6); y, -1.7 (-0.5); z, -8.0 (-2.4). The change in velocity is resolved into three components which are quoted relative to the LVLH (Local Vertical/Local Horizontal).
Spacecraft attitude: Roll, 80°; Pitch, 164°; Yaw, 326°. The desired spacecraft attitude is measured relative to the alignment of the guidance platform.
HA, expected apogee of resulting orbit (Noun 44): Not applicable.
HP, expected perigee of resulting orbit (Noun 44): Not applicable. As they are between two worlds, concepts of apogee and perigee are less clear. However, Kerwin will inform the crew that this burn is expected to lead to a lunar pericynthion (closest approach of a body from outside the Moon's sphere of influence) of 60 nautical miles (111 km).
Delta-VT: 23.2 fps (7.1 m/s). This is the total change in velocity the spacecraft would experience and is a vector sum of the three components given above.
Burn duration or burn time: 3.5 seconds.
Delta-VC: 18.5 fps (5.6 m/s). Using its ability to independently measure acceleration, the EMS can shut down the engine in case the G&N system fails to do so. This figure, Delta-VC, is entered into the EMS's Delta-V counter (hence Delta-VC) and the value is slightly lower than Delta-VT because the EMS does not take account of the engine's tail-off thrust.
Sextant star: Star 44 (Enif, Epsilon Pegasi) visible in sextant when shaft and trunnion angles are 135.9° and 28.1° respectively. This is part of an attitude check.
Boresight star: Not available. This is a second attitude check which is made by sighting on another celestial object with the COAS (Crew Optical Alignment Sight).
GDC align stars: The stars to be used for GDC align purposes are 31 and 23 (Arcturus and Denebola). The align angles are roll, 288°; pitch, 205°; yaw, 34°.
Additional notes in the PAD are that there will be no ullage burn as the SPS propellant tanks are full and do not require their contents to be settled. The burn details assume the LM is still docked and the mass of the LM is given as 33,499 pounds (15,195 kg).
Diagram of the Service Module's SPS engine.
The main parts of the Aerojet SPS engine consist of the combustion chamber, the propellant injector, and the nozzle extension. The combustion chamber is lined with an ablative material. While the engine is fired, the burning off of the material removes heat and protects the structure of the engine. The propellants are stored in four titanium tanks in the Service Module and fed into the engine with a high pressure helium gas system that forces the liquid fuel into the showerhead-like injector. The fuel used is a mixture of unsymmetrical dimethyl hydrazine and anhydrous hydrazine. The oxidizer is nitrogen tetroxide. These chemicals are extremely toxic, and hypergolic. They explode upon contact with one another, which means that the engine does not need an ignition system to work. The propellants simply have to be introduced to one another. This added to the inherent simplicity of the engine design. The same propellant combination is used on all the RCS thrusters in the CSM and the Lunar Module, and also in the LM's two major propulsion systems.
Diagram of the general SPS engine arrangement.
The Service Propulsion System, or SPS, is crucial for the Apollo mission. It will be used for large course corrections, for burning to brake into the lunar orbit as well as to return to Earth after their mission - not to mention to perform abort burns should the mission have to be cut short. As such, its reliability was of utmost concern. The engine was too heavy to be duplicated in its entirely. To add to its redundancy, most of the engine components besides the actual thrust chamber came in pairs, to ensure that at least one of the systems would work and enable them to operate the engine.

A simple diagram of the Service Propulsion System engine.
Like the engines on the Saturn V, the SPS engine is also suspended on a gimbal that could be used to point the engine nozzle. This was an important function, to maintain the vector (the direction of the thrust) at a desired point. In the very dynamic environment of an engine burn, the centre of mass of the spacecraft changes with every passing moment, and hence the engine's output must be constantly re-pointed to ensure they stay on course. The computer does this automatically during normal engine burns, but the engine nozzle can also be adjusted manually using controls in the Main Display Console.
028:52:11 Kerwin: Roger. Readback correct. I have two more short comments on them, but I want to wait just a second and make sure I understand them before I pass them to you.
028:52:25 Haise: Okay. [Long pause.]
028:52:45 Kerwin: Okay, Fred; Houston.
028:52:50 Haise: Go ahead.
028:52:51 Kerwin: The two additional comments were just that, first of all, they biased Delta-VC by minus 0.34 feet per second based on your EMS null bias checks. That's just for information. And the second one also for information is that your targeted pericynthion is 60 miles [111 km] after this correction. [Pause.]
028:53:25 Haise: Okay, understand. For Jack's information, the EMS Delta-V bias is 3.4, and our targeted pericynthion after this maneuver is 60 miles.
028:53:41 Kerwin: That's correct on the pericynthion. The EMS bias is 0.34, very small.
They performed earlier tests on the EMS accelerometer to see if it has any inherent bias in detection. The instrument had passed the tests without issue.
028:53:48 Haise: Okay. 0.34 on the EMS Delta-V bias.
028:53:53 Kerwin: Roger. And...
028:53:56 Swigert: Hey, Joe, we'll give...
028:53:58 Kerwin: Go ahead, Jack...
028:53:59 Swigert: We'll give you - we'll give you the read - we'll give you the results of another null bias test for comparative purposes right before the - oh, at the proper time.
028:54:08 Kerwin: Okay. Real fine; and the computer is yours.
028:54:12 Swigert: Okay. Thank you. Going Block.
Long comm break.
Download MP3 audio file. PAO loop.
029:00:04 Swigert: Okay, Houston; 13. Are you copying the torqueing angles on the P52?
029:00:08 Kerwin: Okay, Jack. Give us a second. [Long pause.]
029:00:26 Kerwin: And, 13, Houston. We have them. You can torque them.
029:00:30 Swigert: Okay, Joe. Time of torqueing; 29 hours, 0 minute, 30 seconds.
029:00:36 Kerwin: Roger that.
Very long comm break.
This is the fourth of Jack's platform realignments. The two stars sighted upon were star 30 Menkent (Theta Centaurus) and star 32 Alphecca (Alpha Coronae Borealis). When comparing the measured angle between these stars and the actual angle, the computer found that Jack was only 0.01° off, a good result. The angles by which the gimbals are rotated or 'torqued' to restore perfect alignment are -0.084° in X, -0.075° in Y and +0.146° in Z. Although the time that the platform was torqued is given as 29 hours GET by Jack, the post-flight mission report has it marked as 028:49 GET.
Download MP3 audio file. PAO loop.
This is Apollo Control at 29 hours, 23 minutes Ground Elapsed Time. Ignition countdown clock toward the midcourse correction number 2, which will take Apollo 13 out of its free-return trajectory, now shows 1 hour, 16 minutes, 55 seconds until ignition. This burn, at a Ground Elapsed Time at 30 hours, 40 minutes, 49 seconds; will be Service Propulsion System burn, 23.2 feet per second retrograde. But will lower the spacecraft pericynthion or closest approach to the Moon to around 60 nautical miles. At 29 hours, 24 minutes Ground Elapsed Time, this is Apollo Control standing by for resumption of conversation between spacecraft communicator Vance Brand who has relieved Joe Kerwin here in Mission Control, and the crew of Apollo 13.
Download MP3 audio file. PAO loop.
029:29:35 Brand: Apollo 13, Houston.
029:29:39 Swigert: Go ahead, Joe.
029:29:40 Brand: Hey, you've got a new CapCom on now with the Black Crew, and we have about three items to give you, Jack.
This was a very rare misidentification of the CapCom by the crew. None of the three regular CapComs on the rotation generally start their shift by reminding the crew about coming on duty.
029:29:50 Swigert: Okay. Stand by 1. Are these updates or what?
029:29:56 Brand: I'm going to give you some High Gain Antenna angles for TV and the rest is just information, general words.
029:30:08 Lovell: Go ahead there, Vance.
029:30:10 Brand: Okay. Burn attitude for TV, your pitch and yaw angles are as follows: Pitch, minus 1 - minus 69; yaw, 180; High Gain.
029:30:26 Swigert: Okay.
They plan to perform the upcoming midcourse correction with the TV on, to broadcast the action to Mission Control.
029:30:27 Brand: Okay. Second point is that you're Go for MCC-2. Everything's looking good here.
029:30:34 Swigert: Okay. Real fine.
Handmade MCC-2 geometry drawing, from the Flight Director's Log.
029:30:36 Brand: And the last item's for Jack. Jack, preliminary indications are that you can get a 60-day extension on your - filing your income tax if you're out of the country.
029:30:54 Swigert: That's good news. I guess I qualify.
029:31:00 Brand: Yeah, we were just looking at the map, and you're south of Florida so you're not in the country now. [Pause.] But we wondered how about your car tags. Have you taken care of those?
029:31:20 Swigert: Yeah, I did, as a matter of fact. I think I did.
029:31:28 Haise: Known as, 'plan ahead.'
The joking about Jack's tax return continues.
029:31:30 Brand: Okay. Good. [Long pause.]
029:31:52 Brand: And, Apollo 13, Houston. Recommend Omni Alpha until you get to the burn attitude.
029:32:00 Swigert: Okay. Omni Alpha.
Long comm break.
Download MP3 audio file. PAO loop.
029:40:32 Swigert: Okay, Houston; Apollo 13.
029:40:34 Brand: 13, go ahead.
029:40:38 Swigert: Okay, Vance. The EMS Delta-V pass passive, the results of the no-bias pass in 100 seconds, have been from 100 to 101.5.
029:40:52 Brand: Roger. Copy plus 100 to plus 101.5, and that agrees fairly closely with the last one, as I recall.
029:41:00 Swigert: Okay. Fine.
Long comm break.
Entry Monitoring System (EMS) functional flow.
The EMS contains an independent accelerometer which measures changes in velocity along the spacecraft's X-axis. While the spacecraft is coasting, the accelerometer can be tested to see if it has any inherent bias in its readings because, being weightless, there is no change in velocity. Jack enters +100 into the unit's Delta-V counter and leaves it to measure for 100 seconds. Any deviation of the display after that time indicates the bias in its measurements. It is important to perform the test before an SPS maneuver because the EMS can be set up to shut down the engine based on the reading from the EMS accelerometer. Hence they want it to be as accurate as possible.
Download MP3 audio file. PAO loop.
029:45:46 Swigert: Okay, Houston. We're at P40 burn attitude. Jim is on the sextant star check, and we do have a star in the sextant.
P40 is the Program 40, designed for calculating engine burns that will be carried out using the Service Propulsion System.
029:45:56 Brand: Roger, Jack. Copy. Very good.
029:46:02 Swigert: But we couldn't tell you whether it's 44 or not.
029:46:08 Brand: Whoops. [Long pause.]
Star 44 is Enif, Epsilon Pegasi.
029:46:44 Swigert: Okay, Houston; 13. We're a little bit ahead of ourselves. Do we have a Go to do the fuel cell purge and the waste water dump? [Pause.]
029:46:57 Brand: Jack, that's affirm. You have a Go for those.
029:47:01 Swigert: Okay. We're on our way.
Long comm break.
Download MP3 audio file. PAO loop.
029:50:14 Brand: Apollo 13, Houston.
029:50:18 Lovell: Go ahead.
029:50:21 Brand: Jim, battery A is charged now. Whenever you want to unhook it will be fine with us.
029:50:28 Lovell: Okay.
Battery charger selector dial on Panel 3 allows them to charge each of the three batteries. The DC voltage and amperage gauges above it can display these values for each battery as well. Original scan via heroicrelics.org.
Very long comm break.
Flight Plan page 3-23A.
Flight Plan page 3-24.
Download MP3 audio file. PAO loop.
This is Apollo Control; 30 hours, 4 minutes Ground Elapsed Time. Some 36 minutes away from ignition and midcourse correction burn number two. Apollo 13 presently 119,751 nautical miles [221,779 km] out from Earth. Velocity now 4,734 feet per second [1,443 m/s]. The scheduled television broadcast from Apollo 13 due in about 10 minutes. TV will last approximately 30 minutes and will include the activities prior to and during the midcourse correction burn number 2. 30 hours, 5 minutes Ground Elapsed Time, and standing by; this is Apollo Control.
Download MP3 audio file. PAO loop.
030:12:04 Swigert: Houston, 13. Are you still planning to have TV at the scheduled time? [Pause.]
030:12:16 Brand: Okay, 13; Houston. That's affirm. At the Flight Plan-scheduled time.
030:12:21 Swigert: Okay. All right. [Pause.] We've got a beautiful sight we want to show you. [Pause.]
030:12:36 Brand: Right. [Long pause.]
030:12:47 Brand: 13, Houston. You can go ahead with the TV now. We're standing by. [Long pause.]
030:13:03 Swigert: Okay. Here it comes.
030:13:04 Brand: Okay. [Long pause.]
030:13:53 Brand: Okay. Jack. It's coming in, and it's right in the center of our screen.
030:14:00 Swigert: Okay, Vance.
030:14:04 Haise: Can you - Think you could guess what that might be, Vance? Better than Charlie?
030:14:14 Brand: I don't want to start flipping coins at this point.
Fred is ribbing on Vance Brand about whether he can tell what their camera is looking at. The Charlie being talked about is Charlie Duke, who famously mixed up the Earth and the Moon during Apollo 11. Charlie making the mistake can be viewed here at the Apollo 11 AFJ.
030:14:21 Swigert: Okay, Vance. We're pointed just a little ways off from looking directly at the Moon. Jim is holding the camera through window 3. The Sun is coming at about 40 degrees off our left side, and what we are going to show you in just a minute is about 30 seconds of waste water dump and just show you just what it looks like. It's really fantastic.
030:14:49 Brand: Okay. We'd like to see that. [Long pause.]
030:15:29 Brand: Okay. We saw some droplets speeding out for a little while, Jack. Now we don't see anything.
030:15:40 Lovell: Actually, Vance, what you're looking at is solid water droplets coming out just about all the time. It lights up the whole sky around the Moon. It's just far too fine for you to see. Now I think they're coming out a little thicker.
030:15:53 Brand: Okay. Yeah, we see those.
Some of the water particles visible on the TV picture.
030:16:01 Lovell: Jack's complaining about seeing stars. [Long pause.]
030:16:16 Brand: FIDO says he can understand why that would perturbate a trajectory now. [Pause.]
FIDO controllers are responsible for calculating the spacecraft trajectory. During their coasting flight, any gaseous or liquid materials expelled from the CSM create a propulsive force that causes a minute alteration of the trajectory.
030:16:26 Lovell: It's amazing watching these little frozen droplets maneuver. They seem to go in all directions, but finally after they get out a certain ways, settle down and they all seem to be traveling about the same direction. [Pause.]
030:16:42 Brand: Right. That's coming in real well. [Pause.]
030:16:51 Lovell: The objects in the foreground are parts of the LM that you're looking at. [Long pause.]
030:17:11 Lovell: The camera is now going to [garble]. [Pause.]
030:17:18 Brand: We can just barely see those parts of the LM. They must be in a shadow. [Long pause.]
030:17:34 Lovell: Okay. Now you are looking at a thruster quad at the lower part of your screen.
030:17:41 Haise: I've got the f-stop all the way open now, Vance; that's quad [pause] quad 1 you're looking at with the LM should - The Moon should be in view just over the top of the quad.
030:17:58 Brand: Right. We see the nozzle of the quad, but it's dark and it's not easy to see. [Long pause.]
030:18:28 Brand: 13, Houston. INCO suggests you try Average if you're in Peak to see if that gives us a better picture. [Pause.]
030:18:41 Haise: Okay. We're in Average now. [Long pause.]
030:19:02 Brand: I think that helps out. We can see it better. [Long pause.]
The Moon and part of one of the LM RCS quads are visible on TV.
030:19:06 MCC (probably INCO): Okay Flight. We - we shouldn't leave it there too long.
030:19:23 Brand: Okay. Now, 13, request you either move it away from the bright area or else move it back to Peak. Over. [Long pause.]
030:20:08 Haise: Okay, Vance. I cranked the focus down a little bit. Is the quad coming in any better now?
030:20:17 Brand: It's coming in about the same, Fred, and you're a little weak now on the comm. [Pause.]
030:20:32 Brand: We could see when you went back to Peak.
030:20:38 Haise: And I'm now zoomed all the way out. [Pause.]
030:20:50 Brand: Okay. We could see you zoom in on the Moon, and it's near the center of our screen, just a little to the left. Very clear. [Pause.]
030:21:09 Haise: Yeah. I show it just about at 38.
030:21:16 Brand: We can't tell if it's gray or light brown, though. [Long pause.]
030:21:33 Haise: Do you have your grid down there, Vance? [Pause.]
030:21:43 Brand: That's negative, Fred.
030:21:48 Haise: Okay. [Long pause.]
030:22:31 Haise: I don't know if you can make out the features there, Vance, on the Moon, but it looks like the terminators are at central plains area somewhere around Descartes, maybe.
030:22:45 Brand: Okay. We're - We see it just as a bright portion of the lunar disk, and it looks a lot like you see it from Earth. Very bright. We're unable to see any features at all. [Pause.]
030:23:09 Haise: It's pretty much the same with the eyeballs in here, and it looks a little bigger now. But the only way I could see it very good at all was with the monocular, a little while ago. [Pause.]
030:23:31 Brand: Okay, Fred. Very good. We'd be interested to see in the cabin when you get ready for that, too.
030:23:39 Haise: Okay. I'll set up now. [Long pause.]
030:23:59 Lovell: And, Vance, we're counting down to midcourse-2, we're up to, in our checklist, to minus 6 minutes to go.
030:24:08 Brand: Roger. Minus 6 minutes. Understand you're about ready to turn on the gimbal motors and all that sort of thing. Okay. We see the computer now in the upper middle part of the - the panel. I think we see somebody's checklist in the center couch. It must be Jim holding the checklist. [Pause.]
The "pen" accelerometer
030:24:39 Haise: Right. And what Jim's holding now, he's got a pen in his hand we've rigged on a string, as sort of a simple-minded accelerometer. This burn's pretty short and I'm not sure even that's going to show very much. But we'll see if it'll stretch out at the end of its string.
030:25:02 Brand: Yeah. We see the pencil at the top of the picture floating around. And Jack's coming into view now.
030:25:10 Haise: And I've gone back - Okay, I've gone back to Average now and [garble] the picture.
030:25:18 Brand: Roger.
Long comm break.
Download MP3 audio file. PAO loop.
030:28:08 Haise: Now in about a few minutes, Vance, I guess we'll see how about the only system we haven't used yet works. Everything else sure has worked mighty fine.
And not just that - if the SPS fails to fire, there is no entering lunar orbit and no landing.
030:28:20 Brand: Right. The spacecraft's really working nicely. Okay. We're picking up panel 2 now. Still a little bit of the checklist. [Long pause.]
030:28:57 Haise: Just wondering if you can pick up the caution array there?
030:29:00 Brand: Right. We just saw your - your testing of the caution and warning system at the left-hand side of the panel on our TV. [Pause.] See the lights all flash on. You're doing it again. [Long pause.]
030:29:54 Brand: You mission timer's showing up as a - a brilliant green in the upper left-hand part of the picture. [Pause.]
Left side Caution and Warning Lights lit up during the test.
Testing the Caution and Warning indicator lights is part of the SPS burn checklist.
030:30:12 Haise: Roger. I got the camera kind of canted on you here, Vance.
030:30:19 Swigert: Vance, Jim's going to go to VOX now.
030:30:22 Lovell: Vance, how do you...
030:30:23 Brand: Roger. Read you loud and clear, Jim.
030:30:28 Lovell: Okay. We'll - what we'll do - We'll be on VOX for the remainder of the burn and preburn countdown.
Panel 9, or Commander's Audio Mixing Panel. Original scan via heroicrelics.org
The two main modes for the comm system are PTT "Push to Talk" and VOX, the latter being voice-activated mode. The crew is now going to VOX to have all their hands free for the complex procedures involved with the MCC-2 burn. The control panel has a thumb wheel for adjusting the sensitivity of the voice activated mode.
030:30:38 Lovell: [Garbled.]
030:30:40 Lovell: [Garbled.] And what we're waiting for is 54 minutes on our counter or 20 which would be minus... [Pause.]
030:30:58 Brand: Jim, we hear clipping on your VOX. Could you adjust it so that you're coming in continuously all the time?
030:31:08 Lovell: Okay. Stand by 1. [Pause.]
The VOX is not capturing all of Jim's words, resulting in garbled communications. He will now adjust the sensitivity.
030:31:17 Lovell: l, 2, 3, 4, 5. How's that, Vance?
030:31:21 Brand: Okay. That's better. [Long pause.]
030:32:04 Swigert: Vance, how do you read the CMP on VOX?
030:32:07 Brand: Jack, read you loud and clear.
030:32:10 Swigert: Okay. Fine. [Pause.]
030:32:21 Lovell: We show minus 8½ minutes.
030:32:25 Brand: Roger. Houston copies. [Long pause.]
030:32:44 Swigert: Close... [Long pause.]
SPS propellant control system seen on TV.
The TV image is showing the PUGS - Propellant Utilization and Gauging System, which is used to adjust the fuel and oxidizer mixture ratio in the SPS engine and monitor its propellant usage.
030:33:00 Haise: Is that too close, Vance, or can you make out the SPS engine panel now?
030:33:06 Brand: We - we can see your fuel and oxidizer gauges and hydrogen/oxygen gauges at the top of the picture and the PUGS, but it isn't coming in in focus too well. It's a little dim.
030:33:20 Haise: Yes. I think the problem is I'm about 2 feet and it doesn't go down but to 4. [Pause.]
030:33:32 Brand: Right. We understand that's the panel right in front of your face. [Pause.]
030:33:43 Lovell: Okay. Vance, stand by for the main gimbal motors.
030:33:49 Haise: Okay. We're minus 7 minutes.
030:33:53 Brand: Roger. [Long pause.]
030:34:25 Brand: Fred, the focus is good enough that we can see the position of your four ball valves at the top of the picture for the big SPS engine.
030:34:37 Lovell: What would you like to watch, Vance?
View of the checklist (held by Lovell) and Swigert's hands operating switches.
While Jack - on the Commander's seat, and Jim go through the SPS maneuver, Fred acts as a timekeeper and cameraman.
030:34:43 Swigert: Hopefully, you'll see the - or we'll see the two on the left here, set A, go on here directly...
030:34:51 Haise: Minus 6 minutes.
Crew operations continue for the midcourse correction while on TV.
030:34:52 Lovell: Main Bus Ties, two, On, Fred. Okay. SPS Helium Valve, two, Auto and checked Auto barber pole. TVC Servo Power is 1, AC1/Main A; 2, AC2/Main B.
The SPS engine control gimbals are some of the most high power electrical systems onboard. The Main Bus Tie switches will allow them to supplement the fuel cell output with battery power to maintain a stable current.
030:35:04 Swigert: AC1/Main A, AC2/Main B.
Jack checks the two alternating current distribution buses. Each should be supplied by one of the Main Buses.
030:35:06 Haise: Main Bus Ties, On.
The Main Bus Tie switches are on Fred's right hand panel, and hence he is positioned to operate them.
030:35:07 Lovell: Okay. Rotational Power Normal no. 2, AC.
030:35:11 Swigert: Number 2, AC.
They power up the rotational control system.
030:35:12 Lovell: Direct, two, Off.
030:35:13 Swigert: Direct, two, Off.
They turn off power to the Direct mode on the rotational control, where the RCS thrusters are fired without computer input, instead they are energized by turning the hand controller.
030:35:15 Lovell: BMAGs, three, Att 1/Rate 2.
030:35:20 Swigert: Att 1/Rate 2.
BMAG mode selection switches on Panel 1. Original scan via heroicrelics.org.
Putting the BMAG switches to the middle position means that they select BMAG number 1 to produce attitude error signals, and BMAG number 2 to produce rate signals, to be displayed on the FDAI 8-balls.
030:35:21 Lovell: Spacecraft Control, SCS.
030:35:23 Swigert: SCS.
Spacecraft Control switches on the MDC. Original scan via heroicrelics.org.
Putting the switch to SCS position relinquishes attitude control from the Command Module Computer and transfers it to the Stabilization Control System.
030:35:24 Lovell: And arm your hand controller.
030:35:27 Swigert: RHC armed.
Another series of switches enables power to the Rotational Hand Controller, which will allow them to use it for manual control input, if necessary.
030:35:29 Lovell: Okay. Let's do a primary TVC check.
SPS gimbal motor schematic.
Electric motors run the machinery for pointing the SPS engine nozzle. This is called Thrust Vector Control, TVC for short. Thrust Vector Control allows them to compensate for any changes in the center of mass in the spacecraft due to fuel depletion from the tanks and the asymmetric mass of the Lunar Module docked on the CSM.
030:35:34 Swigert: Fred, are you ready to start primary?
030:35:36 Haise: Okay. Go ahead on primaries.
030:35:38 Swigert: Okay. Pitch 1, Start.
030:35:40 Haise: Good.
030:35:41 Swigert: Yaw 1, Start.
030:35:42 Haise: That one's good.
Gimbal Position Indicator (GPI).
A multipurpose display shows the SPS gimbal angles and allows for manually inputting desired values via two thumbwheels for the pitch and gimbal, respectively. During the launch, these tapemeters display fuel pressure information in the Saturn V booster. This saves much required space on the cluttered console.
030:35:45 Swigert: Thumbwheel control. 0.96 - plus 0.96, minus 0.23.
030:35:51 Lovell: That's affirm. Check MTVC.
030:35:54 Swigert: MTVC checked. Okay.
MTVC stands for Manual Thrust Vector Control. When the engine firing is controlled by the computer, it also handles the engine pointing automatically. The Stabilization Control System (SCS) provides the manual backup.
030:35:56 Lovell: Okay.
030:35:57 Swigert: THC...
030:35:58 Haise: C...
030:35:59 Swigert: ...Trim returns to Neutral.
030:36:03 Lovell: Clockwise on the translation controller.
Translational Hand Controller.
Rotating the T-shaped THC gives a signal for the Stabilization Control System to engage manual thrust vector control.
030:36:05 Swigert: [Garble]. No MTVC.
030:36:06 Lovell: No MTVC. Okay.
030:36:07 Swigert: Starting [garble].
030:36:08 Haise: Okay.
030:36:09 Swigert: Okay.
030:36:10 Haise: Go ahead.
030:36:11 Swigert: Pitch 2, Start.
030:36:12 Haise: It's good.
030:36:13 Swigert: Yaw 2, Start.
030:36:14 Haise: Okay. Both good.
030:36:15 Swigert: Good. Good trim control. Minus 0.96 - plus 0.96, minus 0.23.
These are the pitch and yaw angles as detailed by the MCC-2 PAD earlier on. They represent the starting point for aiming the SPS nozzle. The test for the automatic thrust vector control has passed.
030:36:22 Haise: Good.
030:36:23 Swigert: MTVC. Translation Control, Neutral. Max trim up to zero.
030:36:30 Lovell: Good. No MTVC.
030:36:31 Swigert: No MTVC.
030:36:33 Lovell: Okay.
030:36:34 Swigert: BMAGs Mode, Rate 2.
030:36:36 Lovell: Rotational Hand Control Power, two, Normal, AC/DC.
030:36:38 Swigert: AC/DC.
030:36:39 Lovell: Rate 2, Main A/Main B.
030:36:41 Swigert: B.
030:36:42 Lovell: Okay. BMAGs, you got three, Rate 2? Okay, we'll proceed for final trim. [Pause.]
030:36:54 Swigert: MAGs where we are.
030:36:55 Lovell: Okay. BMAG Modes, three, Att 1/Rate 2.
030:36:58 Swigert: Att 1/Rate 2.
They continue to check the thrust vector control displays and the BMAGs in preparation for the burn.
030:36:59 Lovell: [Garble], Enter. Okay. We'll do the Gimbal Test Option.
030:37:04 Swigert: Okay. Proceed.
Reconstructed view on the DSKY during the gimbal test.
The Gimbal Test is performed on the computer by inputting Verb 50 (Please Perform) Noun 25 (Checklist - Please perform) and inputting 00204 onto the first line (known as Register 1, or R1) on the DSKY. Hitting Pro.
030:37:05 Lovell: Proceeding.
030:37:06 Swigert: Plus 2, minus 2, 0, plus 2, 2, 0.
030:37:17 Lovell: Yeah. We can hear and feel the engine gimbal as we do the test.
030:37:22 Brand: Roger. Good...
030:37:24 Lovell: FDAI Scale...
030:37:25 Swigert: ...[garble] relay cut in and Trim is set.
030:37:28 Lovell: FDAI Scale, 5/5?
030:37:30 Swigert: 5/5.
The display scale on the 8-balls can be adjusted for the situation as required.
030:37:34 Lovell: Rate, High and update the DET.
030:37:36 Swigert: Time?
030:37:37 Lovell: Let's check it.
030:37:38 Swigert: Okay. We're coming up on 3 minutes. I'll give you a Mark.
030:37:41 Lovell: Fair enough.
030:37:50 Swigert: Mark.
030:37:51 Swigert: Three minutes. DET is good.
The Digital Event Timer above the launch vehicle lights in Odyssey.
The DET is located on the CMP's console, next to the 8-ball and just above the engine status lights. Switches on the bottom of the console allow them to set the start time.
030:37:53 Lovell: Okay. We're set.
030:37:58 Lovell: At 58, we want Delta-V Thrust A to Normal.
030:38:05 Brand: Jim, Houston. You're looking good down here. Go for the burn.
030:38:10 Lovell: Right, Vance. [Long pause.]
030:38:50 Swigert: Okay. Two minutes. Delta-V thrust...
030:38:52 Lovell: Delta-V Thrust A to Normal.
030:38:53 Swigert: Normal.
Delta-V switches on the Main Display Console. Original scan via heroicrelics.org.
Two guarded switches are used to power the SPS engine. There are two control systems, A and B, which are usually known as 'banks' in crew lingo. They will perform this very short burn on Bank A only.
030:38:55 Lovell: Translation Hand Controller armed. Arm your Rotational Hand Controller. I've got mine armed. Okay, Fred. Tape Recorder, High Bit Rate, Record, Forward, Command Reset. Standing by for 59. It's running?.
The hand controllers are armed, in case manual control is needed. They also set up the tape recorder to store systems data during the burn.
030:39:51 Haise: Minus 1 minute.
030:39:52 Swigert: Okay [garble]. [Long pause.]
030:40:17 Swigert: Average g.
Average g is a function in the computer that calculates the acceleration sensed by the Inertial Measurement Unit.
030:40:19 Lovell: EMS mode to Normal.
030:40:21 Swigert: Mode Normal.
030:40:22 Lovell: Standing by for Enter Enable. [Long pause.]
030:40:46 Lovell/Haise: Enter Enable.
They are waiting for the computer to request permission to start the SPS engine. One it asks (by blanking the display), they will agree by hitting Pro on the DSKY when their countdown reaches zero.
030:40:51 Haise: Two balls.
030:40:56 Swigert: Okay. Shutdown.
030:40:57 Lovell: [Garble].
030:40:58 Swigert: Okay. Let's get the residuals. Okay, Houston, there are the residuals. [Pause.]
030:41:10 Lovell: Okay; gimbal motors.
They turn the gimbal motors off right after the burn.
030:41:12 Brand: Okay. Copy residuals.
Residuals are displayed on the three lines of the DSKY, and read the acceleration on each axis.
030:41:13 Swigert: [Garble] secondaries.
030:41:15 Haise: Okay. Go.
030:41:16 Swigert: Okay. Yaw 2.
030:41:18 Haise: Good.
030:41:19 Swigert: Pitch 2.
030:41:20 Haise: That's good.
030:41:23 Swigert: Primary.
030:41:24 Haise: On Low Bit Rate. Start. Go with the primaries.
030:41:30 Swigert: Okay. Yaw 1.
030:41:31 Haise: That's good.
030:41:32 Swigert: Pitch 1.
030:41:33 Haise: Okay.
030:41:34 Swigert: TVC Servo Power, Off.
030:41:35 Haise: ...is Off. Okay. Record the Delta-VC. You got that?
030:41:38 Swigert: Okay. You got the - You got the Delta-VC in minus 3.7.
030:41:41 Swigert: Okay. Function, Off. Mode, standby.
030:41:43 Lovell: Proceeding now.
030:41:44 Swigert: Off. Mode, Standby ...
After reading the acceleration detected by the EMS, they turn it off, as per the post-burn checklist.
030:41:45 Haise: Translation Hand Control Power, Off.
030:41:47 Swigert: Okay. Power Off.
030:41:48 Haise: ROT Power Direct, two, Off.
030:41:49 Swigert: Two Off.
030:41:50 Haise: Rate 2.
030:41:52 Swigert: BMAGs, Rate 2.
030:41:53 Haise: I'm already in low bit rate.
030:41:54 Swigert: Okay.
They continue to turn off the systems they powered earlier.
030:41:56 Haise: Yes, we were on those [garble] so that we had less than 0.2.
030:42:02 Brand: Okay. Houston copied your residuals, very low.
030:42:13 Haise: Okay. Fuel is 1.0; oxidizer 0.25; the Ox unbalance is reading on the decrease, which doesn't mean very much, and I guess that wasn't too much for a push there, Vance. I didn't see the accelerometer do a whole lot and it was a little surprising how slowly the injector valves opened, at least on the indicators.
030:42:44 Brand: Roger. That was a very short burn. Request you give us a sweep across the panel when you get a chance, Fred. Let us see Jack and Jim again. Over.
030:42:56 Haise: Okay.
030:42:57 Swigert: Okay, Vance, I was going to show you on - wonder if the folks might - down there might be interested in how we find out how far we're away from the Moon. Going to do that right now in program 21 here.
030:43:09 Brand: Okay.
030:43:11 Swigert: I'm asking the computer how far away we are. And the computer is telling me we're 121,490 miles out.
030:43:21 Brand: Okay. That agrees fairly closely with our map on the wall.
030:43:30 Swigert: I'm glad. That means you're tracking us too. [Pause.]
030:43:38 Lovell: And if you didn't see our residuals, it was 0.1 X, 0.2 on Y, and 0.1 Z, and Delta-VC was minus 3.8. [Long pause.]
The burn was almost spot on, with very small feet-per-second errors remaining.
030:44:01 Brand: Jack, Houston. We show you down here 121 thousand miles 520 out. So I guess we all agree.
030:44:12 Swigert: Okay. Real good, Vance. What I'm going to do is give you a shot of Fred. [Pause.]
030:44:23 Haise: If we can get all the wiring out of the way.
030:44:27 Swigert: The big problem here is, when you move the TV around, this wire follows you like a snake here.
The camera is plugged into the onboard power system.
030:44:35 Brand: Yeah, we have Fred now. Looks like he has a lariat there, getting ready to rope the checklist. [Pause.]
030:44:47 Haise: That's only half of it. We have most of it hidden away. [Pause.] It's been pretty interesting doing all the camera work here to get a little extra training running the TV here, hopefully for when we get on the ground at Fra Mauro. The monitor does make it pretty easy though. [Pause.]
During the previous lunar landing, the brand new colour TV camera was ruined almost at the beginning of the first EVA when bright sunlight accidentally burned out its imaging tube.
030:45:12 Brand: Right. That's a real advantage in the cockpit. You're just a little bit dark. It looks like it might help to have the f-stop run down about one increment. See how it comes out...
030:45:26 Haise: Can't do it, we're wide open.
030:45:27 Brand: Are you?
030:45:29 Lovell: I think we're wide open...
030:45:30 Swigert: Yeah. We're wide open, Vance. [Long pause.]
030:45:42 Swigert: Okay. Does that help any, Vance?
030:45:45 Brand: Okay. It's reasonably good. We can make out Fred fairly well. Looks like he's in a shadow. Hey, that helps. You just turned up the lights, huh?
Fred Haise adjusts the cabin lights.
030:45:55 Swigert: Yes. We went fixed on the...
030:45:59 Brand: Okay. You're on candid camera.
Vance Brand is playing here with the catchphrase of the long-running TV show where people were put into strange or embarrassing situations while they were secretly filmed - up until the ruse was revealed with the catchphrase 'you're on candid camera!'.
030:46:05 Lovell: We did notice one thing, Vance. You know that new fad with long hair? It won't work too well up here in space.
030:46:15 Brand: What was that one again?
030:46:18 Lovell: I say, you know the new - the new fad with long hair?
030:46:21 Brand: Right.
030:46:22 Lovell: It doesn't work too well up in space, you can't comb your hair up here.
030:46:27 Brand: Well, I guess you have to give up something. [Pause.]
030:46:36 Brand: Well, at least it - it helps to try. We can see you trying to comb your hair there, Jim. It looks like your - your beards haven't come along to the point where you've had to use the razor though.
A bemused Fred Haise looks on while Jim mugs for the camera.
030:46:51 Lovell: Well, we've been debating that. We thought we'd take care of our beards tomorrow and make that one of our daily routines. [Pause.]
030:47:06 Haise: I take it that was a subtle hint, Vance.
030:47:11 Brand: No, no. We're not commenting on your appearance, Fred. I mean nothing derogatory, understand. [Pause.]
030:47:20 Lovell: And, Vance, I thought we'd get a picture of Jack just so that all the girls know that he's still here. [Laughter.] Say hello to them.
Jack Swigert, the ladies' astronaut.
030:47:30 Swigert: [Laughter.]
030:47:34 Brand: Yeah, we - we appreciate that. There he is. Big Jack. [Long pause.]
030:47:57 Brand: Jack, you're in the shadow right now; we have a little bit of interference from your window, which is very bright, so we can't - I think you're smiling, but it's a little hard to tell.
030:48:11 Lovell: Think I'm smiling.
030:48:12 Brand: Hey, there we go. [Pause.] Incidentally, we've been getting all kinds of bits of information to pass up to you. We've had baseball scores coming in, basketball. Somebody said there's 220 days, shopping days left 'til Christmas. [Pause.]
030:48:46 Swigert: Yeah, who won the Masters, Vance? [Pause.]
030:48:56 Brand: It was a tie in the Masters and stand by. [Pause.] It was a tie between Littler and Casper after 72 holes, and there's going to be a playoff Monday, we understand. [Long pause.]
030:49:16 Swigert: Oh. Sounds good. [Long pause.]
The initial golf scores were part of their morning news briefing already.
030:49:35 Brand: One thing the world might be interested in knowing is what you do after the burn in the way of configuring switches back. We - We heard you go through the checklist. But, I guess right now, basically, you probably have all the switches back in position and you're in a mode to continue on with - Okay. What does the Flight Plan say? You're going to be doing cislunar navigation. So, Jack you're going to be down in the LEB. Is that correct?
030:50:12 Swigert: That's right, Vance. Be going down there shortly. [Long pause.]
030:50:30 Brand: Okay. The TV now is all but black. Looks like it must be pointing into a shadow.
030:50:39 Swigert: What he's doing there, he's trying to give you one more shot of the Moon, and right now I'm setting up to maneuver to the optics calibration attitude.
030:50:47 Brand: Roger. [Pause.]
030:50:55 Haise: And what I wanted to point out, I don't know if it's apparent, but to show the advantage of doing all the dumps just before the burn, we're looking again at the same scene over quad 1 at the Moon. And now you don't see all the sparkly frozen particles outside there anymore. We've sort of run off and left them.
030:51:22 Brand: Rog. We - We don't see anything out there anymore in the way of particles leaving the spacecraft. We'd suggest, maybe you zoom the Moon in a little bit again so we can see the shape of it better. [Long pause.]
030:51:59 Brand: Okay. That brings the Moon in. We can see the terminator at the top of the melon-shaped disk.
030:52:11 Haise: Okay. Now you can see a few of the spark - sparkling particles going across the screen. Those are being emitted from the thrusters. Jack's maneuvering the spacecraft now. [Long pause.]
030:52:34 Brand: Okay. We can see those very poorly. Well, actually, they're coming in better now. It looks like little specks going from the upper left part of the screen across to the right, and understand those are from the thrusters.
030:52:52 Haise: That's affirm.
Comm break.
Download MP3 audio file. Direct air-ground communications.
030:54:12 Brand: Okay, 13; Houston. Just as an item of interest, advise your speed with respect to the Earth now is 4,667 feet per second [1,423 m/s].
030:54:29 Swigert: Okay. Thanks, Vance. [Long pause.]
030:55:01 Brand: Okay, Apollo 13; Houston. The Moon has been in and out of the - the - our screen here. Right now it's off at the bottom side, but we can still see the particles coming off from the spacecraft.
030:55:20 Swigert: Okay. I'll have to pull it out the window now, Vance. The Sun's coming up on the right side.
030:55:26 Brand: Roger. Understand. You...
030:55:27 Lovell: Do you want to see any shots down in the LEB, Vance?
030:55:31 Brand: Say again.
030:55:35 Lovell: Do you want to see any of the photographs or do you want the TV down in the LEB?
030:55:40 Brand: That's right, Jim. It'd be good to see what you're doing down in the LEB or the far corner of the spacecraft where the optics are. Might be interesting to describe what you will do in the next few minutes in the way of sightings.
030:55:59 Haise: Okay, Vance. First we're going to give you a shot of the sleep station. [Long pause.]
030:56:22 Brand: Okay. The camera's bounced around a little, but we can see the green computer come in every once in a while. [Long pause.]
030:56:59 Lovell: While Jack's getting the sleep station rolled up, I thought I'd show you one interesting corner. We've got a temporary stowage bag here and that's where all our wastepaper and all that goes while we're - after every meal. It's in the right-hand corner down by our dump system.
030:57:16 Brand: Roger. Understand. We're looking at the wastebasket. [Pause.]
030:57:26 Lovell: And the age-old question that's always asked us is how do we get rid of liquid waste and that line that you see, I think you can see it now, it goes right outside where we open up the overboard drain dump, and all of our waste products, liquid waste products, go out through that line and get dumped overboard.
This large diagram shows the Lower Equipment Bay as well as the equipment used for going to the toilet while onboard. Whether the crew opted to use the suction device or the bag to relieve themselves, the end product was then piped out to space through hoses and then via a waste dump duct through the skin of the Command Module.
030:57:45 Brand: Roger. Understand, and we can see somebody's foot, as well.
030:57:51 Lovell: Okay. Fred's now going down there, and he is going to try to get underneath the sleep station on his side where we have a sleep restraint. And the whole object of that is to - merely to position the body between the - between the bottom of the spacecraft and - so it doesn't float up between that and the bottom of the couch.
030:58:14 Brand: Roger. The sleep restraint of the hammock is coming into view underneath the couch. It's the white object. [Pause.]
030:58:27 Lovell: You perhaps can see the zipper of the hammock right now. It's the black lines in that white object.
030:58:34 Brand: Right. We can see it.
Fred Haise poses happily inside his Command Module sleeping bag.
030:58:39 Lovell: Vance, these hammocks, by the way, are very comfortable. When we first heard about them in the design of Apollo, we thought they weren't necessary, but they turned out to be very nice devices to sleep in. [Long pause.]
030:59:15 Lovell: I'm trying now to get down there with Fred to show you how it works. I keep floating up, though, but maybe we can get a little shot here. [Long pause.]
030:59:42 Brand: Okay. We have somebody upside down in the photograph there now. [Pause.] Realizing, of course, in - in space there is no really right-side up or upside down. It still looks that way to us. [Pause.]
Flight Plan page 3-25.
031:00:10 Lovell: Okay. That's - That's Fred now. I'm trying to put him right-side up, for you folks back there in the sleep station. Fred, would you move your hands there so the folks back home can see you?
031:00:23 Brand: Okay. That's coming in real clear, Jim. We see Fred in the sleep restaint - restraint. [Pause.]
031:00:36 Lovell: As a matter of fact, Vance, I find my - I find Fred down there all the time.
031:00:44 Brand: Yeah. I can see he appreciates that. [Pause.] Looks fairly comfortable. [Long pause.]
031:01:08 Brand: Looks like there's a lot of room down there, considering all the boxes on the floor underneath the couch.
031:01:16 Lovell: It's surprising. There still is quite a bit of room down there even with the Hycon camera box down. And right now, I'm going to bring the camera back up. [Long pause.]
Command Module stowage plan.
031:01:55 Lovell: Okay, Vance. If there is no more that you would like to see right now, we'll terminate our little TV for you today.
031:02:01 Brand: Okay. Thank you very much, Jim. Appreciated seeing inside the spacecraft and getting a look at the Moon that you're rapidly approaching.
031:02:13 Lovell: Roger. This is Odyssey saying goodbye.
Long comm break.
Download MP3 audio file. PAO loop.
This is Apollo Control at 31 hours, 4 minutes. We've completed the change of shift here in Mission Control. Flight Director Milton Windler has replaced Flight Director Glynn Lunney. Our Capsule Communicator will continue to be astronaut Vance Brand. The change of shift press conference is scheduled to begin shortly in the MSC News Center Auditorium, and participants will be Glynn Lunney, Flight Director; and Astronaut Tony England.
031:05:36 Brand: Apollo 13, Houston.
031:05:41 Lovell: Go ahead, Houston.
031:05:44 Brand: Okay. At your convenience we have an item to give you which will have to be copied. It's information on how to photograph Comet Bennett at time 32 hours GET. Over.
031:06:02 Lovell: Okay. Stand by 1 minute.
031:06:03 Brand: Okay. [Long pause.]
031:07:02 Haise: Okay, Vance. Go ahead.
031:07:06 Brand: Okay. Time 32 hours, 00 minutes GET. Instructions at completion of P23, maneuver to following attitude: roll, 101.0; pitch, 090.0; yaw, 000.0. High Gain Antenna angles will be: pitch, minus 23; yaw, 93. Use normal PTC procedures to dampen rates. After vehicle's stable, and before spin-up, take photographs of Comet Bennett. Use the DAC on the sextant with magazine G. That is, very high-speed black-and-white film, right? That's the dim-light film. Take three photos, one each at 5-, 20-, and 60-seconds time exposure. Use Auto optics. Noun 88 values are: R1, plus 34717; R2, minus 08028; R3, plus 35075. Take three photos, one each at 5-, 20-, and 60-second time exposure using manual optics. Shaft will be 000.8 degrees, trunnion 12.5 degrees. Comment: Strip off about 50 frames; that is, 2 seconds of - at 24 feet per second before the first frame and after the last frame of the photos. That is, 2 second - 2 seconds at 24 frames per second - before the first frame and after the last frame of photos. [Long pause.]
The plan is to attempt to photograph Comet Bennett through the navigational sextant using the DAC 16mm film movie camera. The sextant will be pointed towards the location of the comet by rotating the entire spacecraft to a desired orientation.
031:11:13 Haise: Is that it, Vance?
031:11:15 Brand: And that's all.
031:11:19 Haise: Okay. The time is - The event will be at 32:00; and we're to maneuver to the following attitude; roll, 101.0; pitch, 090.0; yaw, all zips. High Gain angles will be pitch, minus 23; yaw, 93. And we're to use normal PTC procedures to damp the rates. And after damping the rates and before spin-up, we're to put the DAC on the sextant with the magazine G, very high-speed black and white film. Then, we're to take three photos, one each at 5-, 20-, and 60-seconds' time exposure using audio - Auto optics. Our Noun 88 values: R1, plus 34717; R2, minus 08028; R3, plus 35075. Thence, three more photos, one each at 5-, 20-, 60-seconds time exposure using manual optics. Shaft, 0.8 degrees; trunnion, 12.5 degrees. And we're to take 2-second bursts at 24 frames per second, before and after these pictures.
031:12:49 Brand: Your readback is correct, Fred.
Long comm break.
This is Apollo Control at 31 hours, 13 minutes. We understand the change of shift press conference is ready to begin in the MSC News Center Auditorium. During the press conference we'll be recording any conversations with the crew for play back immediately following the change of shift briefing. We might also add at this point that during the television transmission, which lasted a total of 50 minutes, 41 seconds, among the viewers in the viewing room here in Mission Control were Astronaut Fred Haise wife, Mary, and his three children; Mary, Frederick, and Stephen. At 31 hours, 14 minutes; this is Apollo Control, Houston.
The Haise family, photographed for posterity before the mission.
Download MP3 audio file. Direct air-ground communications.
031:20:14 Brand: Apollo 13, Houston.
031:20:18 Lovell: Go ahead, Houston.
031:20:21 Brand: Jim, for PTC tonight, request that you disable quads C and D. That's the opposite of last night. Over. [Pause.]
031:20:36 Lovell: Okay. For PTC tonight, disable quads C and D.
031:20:40 Brand: Rog. And advise in approximately an hour, we'll have some read-ups whenever you're ready to take them regarding solo book changes.
031:20:53 Lovell: Okay. We'll be standing by for it.
031:20:56 Brand: Rog.
Long comm break.
Download MP3 audio file. Direct air-ground communications.
031:30:52 Haise: Houston, 13.
031:30:54 Brand: Go ahead, 13.
031:31:00 Haise: Have you all got a chance to look at the data on the SPS yet?
031:31:06 Brand: Stand by 1, Fred. [Long pause.]
031:31:40 Brand: Apollo 13, Houston.
031:31:44 Haise: Go ahead.
031:31:47 Brand: Fred, it looks good, but they haven't had a chance to evaluate everything. They'll probably be finished with looking at strip charts in about 15 minutes, and after that we'll try to get back with you.
031:32:01 Haise: Okay. Thank you.
031:32:03 Brand: Rog.
The crew is more than eager to hear the results of the midcourse correction in terms of SPS engine performance.
Long comm break.
Previous Index Next
Day 1, part 4: Settling Down for the Flight Journal Home Page Day 2, part 2: Housekeeping and Updates